[2026] Thi thử TN sở GDĐT Ninh Bình (Lần 1)
⇒ File word đề thi, đáp án và giải chi tiết
⇒ Mã đề: 013
⇒ Đề thi, đáp án và giải chi tiết:
| 1B | 2A | 3A | 4A | 5A | 6D | 7A | 8A | 9C |
| 10D | 11B | 12B | 13A | 14C | 15D | 16D | 17B | 18C |
| 19 | 20 | 21 | 22 | 23 | 24 | 25 | |
| (a) | Đ | Đ | S | S | 2465 | 20,7 | 26,1 |
| (b) | S | Đ | S | Đ | 26 | 27 | 28 |
| (c) | Đ | S | Đ | S | 47,5 | 4 | 1,06 |
| (d) | S | Đ | S | Đ |
Phần I: Câu trắc nghiệm nhiều phương án lựa chọn. Thí sinh trả lời từ câu 1 đến câu 18. Mỗi câu hỏi thí sinh chỉ chọn một phương án.
(Xem giải) Câu 1. Trong pin điện hoá, điện cực âm (anode) là nơi xảy ra quá trình …(1)… và điện cực dương (cathode) là nơi xảy ra quá trình …(2)… Nội dung phù hợp điền vào chỗ trống (1) và (2) là
A. (1)–cho proton; (2)–nhận proton. B. (1)–oxi hoá; (2)–khử.
C. (1)–khử; (2)–oxi hoá. D. (1)–nhận proton; (2)–cho proton.
(Xem giải) Câu 2. Bơ thực vật (margarine) là loại được điều chế từ dầu thực vật. Để chuyển hoá dầu thực vật thành bơ thực vật người ta thực hiện phản ứng …(1)… nhằm chuyển chất béo không no thành chất béo no. Nội dung phù hợp với chỗ trống (1) là
A. hydrogen hoá. B. hydrate hoá. C. xà phòng hoá. D. oxi hoá.
(Xem giải) Câu 3. Cho sơ đồ của phản ứng lưu huỳnh (sulfur) hoá cao su để tạo thành cao su lưu hoá như sau:

Nhận xét nào sau đây không đúng?
A. Cao su lưu hoá dễ hoà tan và dễ nóng chảy hơn cao su (chưa lưu hoá).
B. Phản ứng lưu hoá cao su thuộc loại phản ứng tăng mạch polymer.
C. Các đoạn mạch trong cao su lưu hoá nối với nhau qua các cầu disulfide.
D. Cao su lưu hoá là polymer có cấu trúc mạng không gian.
(Xem giải) Câu 4. Ester ứng với công thức cấu tạo CH3COOCH2CH2CH3 có tên gọi là
A. propyl acetate. B. ethyl propionate. C. methyl butyrate. D. isopropyl acetate.
(Xem giải) Câu 5. Cho các cặp chất sau: (a) Fe3+/Fe2+, (b) Cu2+/Cu, (c) 2Cl-/Cl2, (d) Cr2O72-/2CrO42-, (e) 2H+/H2; (f) 2H+/H2O. Số cặp chất tương ứng với cặp oxi hoá – khử là
A. 3. B. 4. C. 2. D. 5.
(Xem giải) Câu 6. Nguồn điện nào sau đây không dựa vào các phản ứng hoá học?
A. Pin Galvani. B. Acquy. C. Pin nhiên liệu. D. Pin mặt trời.
(Xem giải) Câu 7. Cho các peptide sau: Ala-Gly; Gly-Val-Ala-Gly; Val-Gly-Ala; Gly-Val-Ala. Số peptide có phản ứng màu biuret là
A. 3. B. 1. C. 2. D. 4.
(Xem giải) Câu 8. Nhóm chức nào nhất thiết phải có trong các phân tử carbohydrate?
A. –OH (hydroxy). B. C=O (ketone). C. –COOH (carboxyl). D. –CHO (aldehyde).
(Xem giải) Câu 9. Cho phản ứng tổng hợp polymer sau: nH2N[CH2]5COOH (xt, t°) → (-NH[CH2]5CO-)n + nH2O. Phản ứng trên thuộc loại phản ứng
A. trùng hợp. B. giảm mạch polymer.
C. trùng ngưng. D. giữ nguyên mạch polymer.
(Xem giải) Câu 10. Trong phân tử chất nào sau đây có 2 nhóm amino (-NH2) và 1 nhóm carboxyl (-COOH)?
A. Glycine. B. Aniline. C. Glutamic acid. D. Lysine.
(Xem giải) Câu 11. Cho dãy các chất sau: (a) ethyl acetate, (b) triolein, (c) polypeptide, (d) saccharose, (e) cellulose, (f) nylon-6,6. Số chất trong dãy thuỷ phân được trong môi trường kiềm đun nóng là
A. 6. B. 4. C. 5. D. 3.
(Xem giải) Câu 12. Polyethylene được sử dụng chủ yếu làm vật liệu polymer nào sau đây?
A. Tơ. B. Chất dẻo. C. Cao su. D. Keo dán.
(Xem giải) Câu 13. Phản ứng chung trong pin Galvani X–Y là:
X(s) + Y2+(aq) → Y(s) + X2+(aq)
Với X và Y là các kim loại. Quá trình xảy ra tại cathode (hay cực dương) của pin là
A. Y2+(aq) + 2e → Y(s). B. X2+(aq) + 2e → X(s).
C. Y(s) → Y2+(aq) + 2e. D. X(s) → X2+(aq) + 2e.
(Xem giải) Câu 14. Amine ứng với công thức cấu tạo nào sau đây là amine bậc hai?
A. (CH3)2CHNH2. B. (CH3)3N. C. CH3NHCH3. D. CH3CH2NH2.
(Xem giải) Câu 15. Chất nào sau đây thuộc loại disaccharide?
A. Glucose. B. Cellulose. C. Tinh bột. D. Saccharose.
(Xem giải) Câu 16. Cho dãy các chất sau: glucose, fructose, maltose, saccharose, tinh bột, cellulose. Trong dung dịch kiềm, số hợp chất hòa tan Cu(OH)2 ở nhiệt độ thường tạo thành dung dịch có màu xanh lam?
A. 1. B. 2. C. 3. D. 4.
(Xem giải) Câu 17. Cho phản ứng của methane với bromine tạo thành methyl bromide theo phản ứng: CH4 + Br2 → CH3Br + HBr (∗). Cơ chế của phản ứng như sau:
Giai đoạn 1:
Br-Br (ánh sáng) → Br• + Br•
Giai đoạn 2:
CH3-H + Br• → •CH3 + HBr
•CH3 + Br-Br → CH3Br + Br•
CH3-H + Br• → …
Giai đoạn 3:
Br• + Br• → Br2
•CH3 + Br• → CH3Br
•CH3 + •CH3 → CH3CH3
Phát biểu nào sau đây sai?
A. Sản phẩm CH3Br được sinh ra chủ yếu ở giai đoạn 2.
B. Nếu thay methane bằng ethane thì giai đoạn (3) thu được propane.
C. Các tiểu phân CH3•, Br• đều chứa electron chưa ghép đôi nên được gọi là gốc tự do.
D. Phản ứng (∗) là phản ứng thế gốc tự do của alkane.
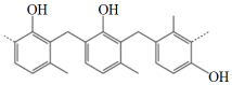
(Xem giải) Câu 18. Hợp chất hữu cơ đơn chức X (có chứa vòng benzene) và Y đều chứa các nguyên tố C, H, O. Từ nguyên liệu ban đầu là X, Y với xúc tác acid, tạo thành sản phẩm trung gian F, trùng ngưng F thu được polymer E có nhiều ứng dụng trong công nghiệp. Một đoạn mạch của E cấu tạo như sau:

Chất X và Y ban đầu là
A. phenol (C6H5OH) và formaldehyde. B. phenol (C6H5OH) và acetaldehyde.
C. 3-methylphenol và formaldehyde. D. 3-methylphenol và acetaldehyde.
PHẦN II. Câu trắc nghiệm đúng sai. Thí sinh trả lời từ câu 19 đến câu 22. Trong mỗi ý a), b), c), d) ở mỗi câu, thi sinh chọn đúng hoặc sai.
(Xem giải) Câu 19. Cấu tạo và cơ chế hoạt động của pin Galvani Zn–Cu được biểu diễn ở sơ đồ sau:

Cho biết: Thể tích của các dung dịch đều là 500 mL và nồng độ ban đầu của các muối đều là 1,00 M; nhiệt độ của thí nghiệm là 25°C; thế điện cực chuẩn của Cu2+/Cu là 0,34V; của Zn2+/Zn là –0,76V.
a) Nồng độ các ion (NH4+, Cl-) trong cầu muối giảm trong quá trình pin hoạt động.
b) Sức điện động của pin là 1,10V và không thay đổi trong quá trình pin hoạt động.
c) Trong pin Galvani Zn–Cu, điện cực Zn là anode và điện cực Cu là cathode.
d) Sau khi pin Galvani Zn–Cu dừng hoạt động (phản ứng kết thúc), khối lượng dung dịch CuSO4 giảm đúng bằng khối lượng Cu đã bám vào điện cực.
(Xem giải) Câu 20. Chỉ số acid (Acid value – AV) được định nghĩa là số mg KOH sử dụng để trung hoà acid béo có trong 1 gam chất béo (mỡ động vật, dầu thực vật). Chỉ số acid là một trong các tiêu chí để đánh giá chất lượng của chất béo – chỉ số acid càng lớn thì chất lượng chất béo càng giảm do sự thuỷ phân của chất béo trong quá trình bảo quản. Một nhóm học sinh tiến hành xác định chỉ số acid của chất béo (mỡ lợn) dựa vào phản ứng chuẩn độ acid béo. Nhóm học sinh tiến hành các bước sau:
• Bước 1: Lấy một mẫu mỡ lợn đem cân được 5,01 gam và cho vào cốc sứ, đun nhẹ để mỡ hoá lỏng. Thêm dung môi là hỗn hợp ether và ethanol vào để hoà tan hết mỡ (có thể đun nóng), thu được 100,00 mL dung dịch.
• Bước 2: Lấy 20,00 mL dung dịch ra cốc nhỏ, thêm tiếp 2–3 giọt phenolphthalein sau đó chuẩn độ bằng dung dịch NaOH 0,01 M từ burette, khuấy nhẹ liên tục cho tới khi xuất hiện màu hồng nhạt bền (màu hồng duy trì khoảng 20–30 giây) và ghi lại thể tích dung dịch đã dùng.
Lặp lại bước 2 thêm hai lần nữa. Kết quả chuẩn độ được ghi ở bảng sau:
| Thí nghiệm | 1 | 2 | 3 |
| Thể tích dung dịch NaOH (mL) | 3,45 | 3,51 | 3,45 |
a) Phản ứng chuẩn độ trong thí nghiệm trên xảy ra theo phương trình hoá học sau: RCOOH + NaOH → RCOONa + H2O
b) Từ kết quả thí nghiệm xác định được chỉ số acid là 1,94. (Không làm tròn các phép tính trung gian, kết quả cuối cùng được làm tròn đến hàng phần trăm).
c) Kết quả chuẩn độ có sai lệch ở các thí nghiệm là do sự thuỷ phân của chất béo trong quá trình chuẩn độ.
d) Giả thiết phù hợp được đưa ra với thí nghiệm trên là: “Chỉ số acid của chất béo xác định được bằng phản ứng chuẩn độ acid – base”.
(Xem giải) Câu 21. Cellulose trinitrate được sử dụng trong nhiều ngành công nghiệp khác nhau như: làm chất nổ, phim ảnh, mực in,… Cellulose trinitrate được điều chế dựa trên phản ứng sau:
[C6H7O2(OH)3]n + 3nHNO3 (H2SO4 đặc) → [C6H7O2(ONO2)3]n + 3nH2O (1)
a) Trong các mắt xích của cellulose trinitrate đều có hai nhóm hydroxy (-OH).
b) Phản ứng (1) là phản ứng tăng mạch polymer.
c) Nếu hiệu suất chuyển hoá của cellulose thành cellulose trinitrate là 90% thì từ 100 kg cellulose sẽ thu được 165 kg cellulose trinitrate.
d) Các hoá chất HNO3 và H2SO4 được sử dụng trong phản ứng đều là các dung dịch có nồng độ thấp.
(Xem giải) Câu 22. Alanine là amino acid phổ biến thứ hai trong protein và là amino acid không thiết yếu với con người vì cơ thể có thể tổng hợp được. Tuỳ thuộc vào pH của dung dịch, alanine tồn tại các dạng sau:

a) Tên thay thế của alanine là α-amino propionic acid.
b) Khi đặt trong điện trường, các dạng (I) và (III) đều điện di.
c) Nhúng quỳ tím vào dung dịch chứa dạng (III), quỳ tím chuyển sang màu xanh.
d) Trong các dạng tồn tại của alanine, dạng (II) có tính chất lưỡng tính.
PHẦN III. Câu trắc nghiệm trả lời ngắn. Thí sinh trả lời từ câu 23 đến câu 28.
(Xem giải) Câu 23. Vật liệu composite là vật liệu được tổ hợp từ hai hay nhiều vật liệu …(a)…, tạo nên vật liệu mới có tính chất …(b)… so với các vật liệu thành phần. Thành phần vật liệu composite gồm …(c)… (chủ yếu là polymer) và …(d)… (sợi thuỷ tinh, sợi carbon, vải…) được trộn vào …(c)… để tăng tính chất cơ lí.
Lựa chọn các cụm từ được số hoá là: (1)-giống nhau; (2)-khác nhau; (3)-tương tự; (4)-vượt trội; (5)-vật liệu cốt; (6)-vật liệu nền vào các chỗ trống (a), (b), (c), (d) thành bộ số gồm 4 chữ số theo trình tự abcd để phù hợp với nội dung được trình bày ở trên.
(Xem giải) Câu 24. Peptide X có công thức cấu tạo như sau:

Phần trăm khối lượng của nguyên tố nitrogen trong X là a%. Giá trị của a bằng bao nhiêu? (Làm tròn kết quả đến hàng phần mười)
(Xem giải) Câu 25. Lên men glucose điều chế ethyl alcohol với hiệu suất phản ứng lên men đạt 60%. Để sản xuất được 10,0 L ethyl alcohol (D = 0,8 g/cm³) thì khối lượng glucose (theo kg) để lên men là bao nhiêu? (Không làm tròn các phép tính trung gian, chỉ làm tròn kết quả cuối cùng đến hàng phần mười).
(Xem giải) Câu 26. Pin nhiên liệu sử dụng ethanol được đặc biệt quan tâm do có nguồn nhiên liệu sinh học dồi dào.
Phản ứng chung trong pin ethanol – oxygen như sau: C2H5OH(l) + 3O2(g) → 2CO2(g) + 3H2O(l)
Một pin ethanol – oxygen được dùng để thắp sáng 8 bóng đèn LED, mỗi bóng có công suất 3 W (3 J/s) liên tục trong t giờ, tiêu thụ hết 230 gam ethanol. Biết rằng 60% lượng nhiệt sinh ra từ phản ứng (ở điều kiện chuẩn) được chuyển hoá thành điện năng. Cho biết nhiệt tạo thành chuẩn của các chất:
| Chất | C2H5OH (l) | O2 (g) | CO2 (g) | H2O (l) |
| –277,6 | –393,5 | –285,8 |
Giá trị của t bằng bao nhiêu? (Không làm tròn các phép tính trung gian, chỉ làm tròn kết quả cuối cùng đến hàng phần mười).
(Xem giải) Câu 27. Hãy cho biết có bao nhiêu công thức cấu tạo là ester ứng với công thức phân tử C4H8O2?
(Xem giải) Câu 28. Cho thế điện cực chuẩn của hai cặp oxi hoá – khử ở bảng sau:
| Cặp oxi hoá – khử | Ni2+/Ni | Ag+/Ag |
| E°oxh/kh (V) | –0,26 | +0,80 |
Sức điện động chuẩn (E°pin) của pin tạo bởi hai cặp oxi hoá – khử trên là a (V). Xác định giá trị của a.

Bình luận