[2026] Thi thử TN chuyên Chu Văn An – Lạng Sơn (Lần 1)
⇒ File word đề thi, đáp án và giải chi tiết
⇒ Mã đề: 009
⇒ Đề thi, đáp án và giải chi tiết:
| 1B | 2B | 3B | 4C | 5D | 6D | 7B | 8D | 9B |
| 10B | 11A | 12D | 13A | 14B | 15D | 16C | 17A | 18C |
| 19 | 20 | 21 | 22 | 23 | 24 | 25 | |
| (a) | Đ | Đ | S | Đ | 3,3 | 2 | 5,74 |
| (b) | S | Đ | Đ | S | 26 | 27 | 28 |
| (c) | S | Đ | S | Đ | 3 | 2413 | 25 |
| (d) | Đ | S | Đ | S |
Phần I: Câu trắc nghiệm nhiều phương án lựa chọn. Thí sinh trả lời từ câu 1 đến câu 18. Mỗi câu hỏi thí sinh chỉ chọn một phương án.
(Xem giải) Câu 1. Trong công nghiệp, sodium hydroxide được sản xuất bằng phương pháp điện phân dung dịch sodium chloride có nàng ngăn xốp. Bằng phương pháp này, người ta cũng thu được khí chlorine. Chất khí này được làm khô (loại bỏ hơi nước) rồi hóa lỏng để làm nguyên liệu quan trọng cho nhiều ngành công nghiệp chế biến và sản xuất hóa chất. Chất nào sau đây phù hợp để làm khô khi chlorine?
A. Dung dịch nước vôi trong. B. Sulfuric acid 98%.
C. Calcium oxide khan. D. Sodium hydroxide khan.
(Xem giải) Câu 2. Sulfur dioxide là hóa chất có nhiều ứng dụng trong công nghiệp (sản xuất sulfuric acid, tẩy trắng bột giấy, đường). Ở điều kiện chuẩn, 1 mol sulfur phản ứng hết với oxygen theo phương trình S(r) + O2(g) → SO2(g) tỏa ra một lượng nhiệt là 296,9 kJ.
(a) Biến thiên enthalay chuẩn của phản ứng là 296,9 kJ.
(b) Enthalpy tạo thành chuẩn của sulfur dioxide bằng -296,9 kJ/mol.
(c) Sulfur dioxide vừa có thể là chất khử, vừa có thể là chất oxi hóa tùy thuộc phản ứng.
(d) 0,5 mol sulur tác dụng hết với oxygen giải phóng 148,45 kJ năng lượng dưới dạng nhiệt.
Trong các phát biểu trên đây, có bao nhiêu phát biểu đúng?
A. 1. B. 3. C. 4. D. 2.
(Xem giải) Câu 3. Đem giã nát củ nghệ rồi ngâm với ethanol nóng, sau đó lọc bỏ phần bã, lấy dung dịch nước lọc cô để làm bay hơi bớt dung môi, phần dung dịch còn lại được làm lạnh, để yên một thời gian rồi lọc lấy kết tủa màu vàng là curcumin. Hãy cho biết trong các quá trình trên người ta đã sử dụng kĩ thuật tinh chế nào để lấy được curcumin từ củ nghệ tươi?
A. Chiết, chưng cất và sắc kí. B. Chiết và kết tinh.
C. Chiết và chưng cất. D. Chiết, chưng cất và kết tinh.
(Xem giải) Câu 4. Chất X có công thức phân tử C4H8O2. Khi X tác dụng với dung dịch NaOH sinh ra chất Y có công thức C2H3O2Na. Công thức cấu tạo của X là
A. HCOOC3H7. B. HCOOC3H5. C. CH3COOC2H5. D. C2H5COOCH3.
(Xem giải) Câu 5. R-45B là một chất làm lạnh thế hệ mới sẽ thay thế các chất làm lạnh không thân thiện với môi trường, ảnh hưởng đến tầng ozone. R-45B chứa hỗn hợp gồm difluoromethane và 2,3,3,3-tetrafluoropropene. Công thức của các dẫn xuất halogen có trong R-45B là:
A. CH2F2, C3H2F6. B. CH4F2, C3H2F4. C. CH4F2, C3H4F4. D. CH2F2, C3H2F4.
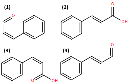
(Xem giải) Câu 6. Từ tinh dầu quế, người ta tách được hợp chất cinnamaldehyde có mùi thơm đặc trưng tồn tại dạng trans. Cinnamaldehyde có phản ứng với thuốc thử Tollens, làm mất màu dung dịch Br2/CCl4, khi bị oxi hoá bằng dung dịch KMnO4/H2SO4 đun nóng thu được benzoic acid. Cho các cấu tạo:

Công thức của cinnamaldehyde là
A. (1). B. (2). C. (3). D. (4).
(Xem giải) Câu 7. Hợp chất A là một amino acid. Phổ MS của ester B (được điều chế từ A và methanol) xuất hiện peak của ion phân tử [M+] có giá trị m/z = 89. Công thức cấu tạo thu gọn của A là
A. H2NCH(CH3)COOH. B. H2NCH2COOH.
C. H2NCH(CH3)COOCH3. D. H2NCH2COOCH3.
(Xem giải) Câu 8. Chất X có màu trắng, dạng sợi, không mùi vị, không tan trong nước, là thành phần chính tạo nên màng tế bào thực vật. Chất X là
A. glucose. B. saccharose. C. tinh bột. D. cellulose.
(Xem giải) Câu 9. Trong công nghiệp, sulfuric acid được sản xuất từ quặng pyrite sắt có thành phần chính là FeS2 theo sơ đồ sau: FeS2 → SO2 → SO3 → H2SO4. Trong sơ đồ này, số phản ứng oxi hóa khử là
A. 1. B. 2. C. 0. D. 3.
(Xem giải) Câu 10. Trong các phản ứng hữu cơ thường có sự tạo thành các tiểu phân trung gian hoạt động như gốc tự do, carbanion, carbocation. Carbocation là ion mang điện tích dương trên nguyên tử carbon. Có bao nhiêu carbocation trong số các tiểu phân (CH3)3C⁺, (CH3)2C⁻H, •CH3 và (CH3)2C⁺H?
A. 3. B. 2. C. 1. D. 4.
(Xem giải) Câu 11. Cho bảng thông tin về tính chất vật lí của một số alcohol như sau
| Alcohol | D (g/mL) | Độ tan trong nước ở 25°C (g/100g H2O) |
| CH3OH | 0,701 | ∞ |
| CH3CH2OH | 0,789 | ∞ |
| CH3CH2CH2OH | 0,804 | ∞ |
| CH3[CH2]3OH | 0,809 | 7,4 |
| HOCH2CH2OH | 1,114 | ∞ |
| HOCH2CHOHCH2OH | 1,261 | ∞ |
Theo bảng trên, số alcohol nhẹ hơn nuớc đồng thời tan vô hạn trong nước là
A. 3. B. 4. C. 5. D. 2.
(Xem giải) Câu 12. Poly(ethylene terephthalate) (viết tắt là PET) là một polymer được điều chế từ terephthalic acid và ethylene glycol. PET được sử dụng để sản xuất tơ, chai đựng nước uống, hộp đựng thực phẩm. Cho cho phát biểu sau:
a) Tơ được chế tạo từ PET thuộc loại tơ tổng hợp.
b) PET thuộc loại polyester.
c) Poly(ethylene terephthalate) được điều chế bằng phản ứng trùng hợp các monomer tương ứng.
d) Trong một mắt xích PET, phần trăm khối lượng carbon là 62,5%.
Số phát biểu đúng là
A. 2. B. 4. C. 1. D. 3.
(Xem giải) Câu 13. Chất giặt rửa tự nhiên như bồ hòn, bồ kết có đặc điểm chủ yếu nào sau đây
A. Lành tính, không gây kích ứng da, không gây ô nhiễm môi trường
B. Gây ô nhiễm môi trường đáng kể.
C. Giá thành cao.
D. Rẻ tiền, dễ kiếm nên dễ sản xuất ở quy mô công nghiệp.
Câu 14. Bảng dưới đây ghi lại hiện tượng khi làm thí nghiệm với các chất glucose, fructose, saccharose, amylose ở dạng dung dịch với dung môi nước được kí hiệu ngẫu nhiên không theo thứ tự là X, Y, Z, T:
| Thuốc thử | X | Y | Z | T |
| AgNO3/NH3 | Không hiện tượng | Ag↓ | Không hiện tượng | Ag↓ |
| Cu(OH)2 | Không tan | Xanh lam | Xanh lam | Xanh lam |
| Nước bromine | Không mất màu | Mất màu | Không mất màu | Không mất màu |
| I2 | Chuyển xanh tím | Không hiện tượng | Không hiện tượng | Không hiện tượng |
Các chất X, Y, Z, T lần lượt là:
A. saccharose, amylose, glucose, fructose. B. amylose, glucose, saccharose, fructose.
C. glucose, fructose, saccharose, amylose. D. amylose, fructose, saccharose, glucose.
(Xem giải) Câu 15. Liên kết trong phân tử nào dưới đây không được hình thành do sự xen phủ giữa các orbital cùng loại (ví dụ cùng là orbital s, hoặc cùng là orbital p)?
A. Cl2. B. H2. C. N2. D. NH3.
(Xem giải) Câu 16. Nồng độ carbon dioxide trong khí quyển đã tăng khoảng 20% trong thế kỉ qua. Giả sử đại dương của Trái đất tiếp xúc với khí carbon dioxide trong khí quyển, lượng carbon dioxide tăng lên có thể ảnh hưởng như thể nào đến pH của các đại dương trên thế giới?
A. pH tăng sau đó giữ nguyên. B. pH tăng. C. pH giảm. D. pH giữ nguyên.
(Xem giải) Câu 17. Histamine là một amine tự nhiên được tìm thấy trong cơ thể người và nhiều loại động vật. Histamine tồn tại một trong hai dạng, dạng dự trữ ở khắp các mô trong cơ thể hoặc dạng tự do. Một trong những tác động của histamine là gây viêm, dị ứng. Khi cơ thể gặp tình huống gây kích thích (dị ứng thời tiết, thực phẩm, hoá chất,…), histamine chuyển thành dạng tự do, gây ra các triệu chứng sưng, đỏ, ngứa. Điều này giúp cơ thể chống lại các tác nhân gây hại bằng cách kích thích hệ thống miễn dịch của cơ thể.

Công thức phân tử của histamine là
A. C5H9N3. B. C5H11N3. C. C5H6N3. D. C7H9N3.
(Xem giải) Câu 18. Polystyrene (PS) là chất nhiệt dẻo thường được sử dụng để sản xuất đồ nhựa như: cốc, chén dùng một lần hoặc hộp đựng thức ăn mang về tại các cửa hàng. Monomer được dùng để điều chế PS là
A. CH2=CH2. B. CH2=CH-CH=CH2.
C. C6H5CH=CH2. D. CH2=CH-CH3.
PHẦN II. Câu trắc nghiệm đúng sai. Thí sinh trả lời từ câu 19 đến câu 22. Trong mỗi ý a), b), c), d) ở mỗi câu, thi sinh chọn đúng hoặc sai.
(Xem giải) Câu 19. Trong phòng thí nghiệm, học sinh tiến hành chuẩn độ dung dịch NaOH chưa biết chính xác nồng độ (x M) bằng dung dịch chuẩn HCl 0,10M với chất chỉ thị phenolphthalein.
• Bước 1: Burette (loại 25 ml) đã được đổ đầy đến vạch 0 bằng dung dịch NaOH và chắc chắn không còn bọt khí trong burette. Cho 10 ml dung dịch chuẩn HCl vào binh tam giác (loại 100 mL), thêm 2 giọt chỉ thị phenolphthalein (loại 1% pha trong cồn).
• Bước 2: Mở khóa burette để dung dịch NaOH trong burette chảy từ từ vào bình tam giác, đồng thời lúc đều bình. Đến khi dung địch ở bình tam giác chuyển từ không màu sang màu hồng nhạt bền trong ít nhất 20 giây thì kết thúc chuẩn độ (khóa burette). Ghi lại thể tích dung dịch NaOH đã dùng, lặp lại thí nghiệm ít nhất 3 lần.

Kết quả như sau:
| Thí nghiệm | Lần 1 | Lần 2 | Lần 3 |
| Thể tích dung dịch NaOH (mL) | 9,1 | 9,0 | 9,2 |
Cho các phát biểu sau:
a) Ở bước 2, pH của dung dịch trong bình tam giác tăng dần trong quá trình chuẩn độ.
b) Ở bước 2, dung dịch trong bình tam giác chuyển từ không màu sang màu hồng nhạt là do phản ứng chuẩn độ sinh ra sản phẩm NaCl tạo màu hồng nhạt.
c) Khi chuẩn độ, dung dịch NaOH được nhỏ trực tiếp vào bình tam giác từ dụng cụ kí hiệu là (B) được mình họa ở hình bên.
d) Giá trị của x là 0,11. (Kết quả các phép tính trung gian không được làm tròn, chỉ kết quả cuối cùng được làm tròn đến hàng phần trăm).
(Xem giải) Câu 20. Thủy phân hoàn toàn một hexapeptide M thu được Ala, Arg, Glu, Ile, Phe và Tyr. Các peptide E (chứa Phe, Arg) và G (chứa Arg, Ile, Phe) được tạo thành trong số các sản phẩm thủy phân không hoàn toàn M. Dùng 2,4-dinitroflurobenzene xác định được amino acid Ala. Thủy phân M nhờ trypsine thu được tripeptide X (chứa Ala, Arg, Tyr) và một tripeptide Y. Biết thuốc thứ 2,4-dinitrofluorobenzene dùng để xác định amino acid đầu N. trypsine là enzyme đặc hiệu xúc tác cho phản ứng thủy phân liên kết peptide bằng cách tác động lên đầu các nhóm carboxyl của các amino acid cơ bản như Lys và Arg. Cho các phát biểu sau:
a) Thứ tự liên kết của các amino acid trong M là Ala-Tyr-Arg-Phe-Ile-Glu.
b) Amino acid đầu N của hexapeptide M là Ala.
c) Tripeptide Y chứa Glu, Ile, Phe.
d) Amino acid đầu C của hexapeptide M là Arg.
(Xem giải) Câu 21. Trong công nghiệp, acetone được điều chế bằng cách oxi hóa cumene nhờ oxygen, sau đó thuỷ phân trong dung dịch H2SO4 loãng:

Để thu được 87 gam acetone thì lượng cumene cần dùng (giả sử H điều chế = 80%) là m gam. Cho các phát biểu sau:
a) Cumene còn có tên gọi khác là propylbenzene.
b) Trong phản ứng trên, cumene đóng vai trò là chất khử.
c) Ngoài sản phẩm là acetone, còn thu được chất hữu cơ là benzyl alcohol
d) Giá trị của m = 225.
(Xem giải) Câu 22. Limonene là một monoterpene lỏng không màu, là thành phần chính (chiếm khoảng 67 – 80%) trong tinh dầu bưởi. Limonene có tác dụng giảm đau đầu, tăng cường hệ miễn dịch, khử trùng, bảo quản thực phẩm… Một nhóm học sinh thực hiện tách tinh dầu bưởi trong phòng thí nghiệm theo các bước như sau:

• Bước 1: Lấy 300 gam phần màu xanh của vỏ bưởi, cắt nhỏ, cho vào bình cầu có nhánh (không quá 2/3 dung tích bình). Cho nước vào bình cấp hơi nước và lắp dụng cụ như hình bên.
• Bước 2: Thực hiện chưng cất lôi cuốn hơi nuớc trong 2,5 giờ bằng cách đun sôi bình cấp hơi nước để hơi nước đi qua bình chứa vỏ bưởi, cuốn theo tinh dầu và ngưng tụ ở ống sinh hàn.
• Bước 3: Cho toàn bộ chất lỏng trong bình tam giác vào phễu chiết, thêm dung dịch NaCl bão hòa vào phễu chiết, lắc đều. Đặt phễu chiết lên giá đỡ 10 phút, tách lấy lớp tinh dầu phía trên vào bình tam giác khô.
• Bước 4: Cho vào bình tam giác chứa tinh dầu một lượng vừa đủ MgSO4 khan, lắc đều đến khi chất lỏng trong suốt, gạn lấy tinh dầu bưởi.
Cho các phát biểu sau:
a) MgSO4 khan sử dụng trong bước 4 có tác dụng hút nước để làm khô tinh dầu bưởi.
b) Ở bước 3, thêm dung dịch NaCl bão hòa vào phễu chiết là để làm tăng khả năng hòa tan của tinh dầu bưởi trong nước.
c) Phương pháp chưng cất lôi cuốn hơi nước dùng để tách tinh dầu bưởi ra khỏi hỗn hợp do tinh dầu bưởi không tan trong nước và dễ bay hơi với hơi nước.
d) Ở bước 3, đặt phễu chiết lên giá đỡ 10 phút nhằm mục đích để phần tinh dầu bưởi còn phân bố trong nước di chuyển xuống lớp tinh dầu ở phía dưới.
PHẦN III. Câu trắc nghiệm trả lời ngắn. Thí sinh trả lời từ câu 23 đến câu 28.
(Xem giải) Câu 23. Methyl salicylate dùng làm thuốc xoa bóp giảm đau, được điều chế theo phản ứng sau:

Để sản xuất 1 triệu tuýp thuốc xoa bóp giảm đau cần tối thiểu m tấn salicylic acid. Biết mỗi tuýp thuốc chứa 2,7 gam methyl salicylate và hiệu suất phản ứng tính theo salicylic acid 75%. Giá trị của m là bao nhiêu? (chỉ làm tròn kết quả cuối cùng đến hàng phần mười).
(Xem giải) Câu 24. Cho 3 carbohydrate sau: saccharose, amylose và cellulose. Có bao nhiêu carbohydrate trong số 3 chất trên được tạo thành chỉ từ các đơn vị glucose?
(Xem giải) Câu 25. Formaldehyde là một hoá chất quan trọng, có thể điều chế bằng phương pháp dehydrogen hoá methanol:
CH3OH(g) (700°C, xt) → HCH=O(g) + H2(g)
= 84,2 kJ (1)
Không khí được dẫn vào hệ và sau phản ứng (1) xảy ra phản ứng sau:
H2(g) + ½O2(g) → H2O(g)
= -241,8 kJ (2)
Tính tỉ lệ mol (methanol : oxygen) đưa vào để nhiệt độ hệ phản ứng được duy trì ở 700°C. (chỉ làm tròn kết quả cuối cùng đến hàng phần trăm).
(Xem giải) Câu 26. Mùi tanh của cá là do hỗn hợp các amine (nhiều nhất và trimethylamine) gây nên. Trimethylamine là amine bậc mấy?
(Xem giải) Câu 27. Cho công thức của các polymer được đánh số thứ tự từ 1 tới 4 dưới đây: [-CH2-CHCl-]n (1); [-C6H3(OH)-CH2-]n (2); [-CH2-CH2-]n (3); [-CH2-C(COOCH3)(CH3)-]n (4).
Gán số thứ tự các polymer theo thứ tự kí hiệu: PPF, PMMA, PVC, PE và sắp xếp theo trình tự thành dãy bốn số (Ví dụ: 1234, 4321…)
(Xem giải) Câu 28. Hỗn hợp X gồm N2 và H2 có tỉ lệ mol tương ứng là 1 : 4. Nung nóng X trong bình kín ở nhiệt độ khoảng 450°C có bột Fe xúc tác, thu được hỗn hợp khí Y có tỉ khối so với H2 bằng 4. Hiệu suất của phản ứng tổng hợp NH3 là x %, giá trị của x là bao nhiêu?

Bình luận