[2026] Thi thử TN sở GDĐT Hà Tĩnh (Số 03)
⇒ File word đề thi, đáp án và giải chi tiết
⇒ Mã đề: 027
⇒ Đề thi, đáp án và giải chi tiết:
| 1A | 2D | 3B | 4B | 5D | 6B | 7C | 8C | 9D |
| 10C | 11D | 12D | 13A | 14A | 15D | 16B | 17A | 18C |
| 19 | 20 | 21 | 22 | 23 | 24 | 25 | |
| (a) | S | S | S | S | 121 | 330 | 315 |
| (b) | Đ | S | Đ | Đ | 26 | 27 | 28 |
| (c) | S | Đ | Đ | S | 2,1 | 232 | 4,5 |
| (d) | S | Đ | Đ | Đ |
Phần I: Câu trắc nghiệm nhiều phương án lựa chọn. Thí sinh trả lời từ câu 1 đến câu 18. Mỗi câu hỏi thí sinh chỉ chọn một phương án.
(Xem giải) Câu 1. Kim loại nào sau đây điều chế được bằng phương pháp thủy luyện?
A. Au. B. Ca. C. Na. D. Mg.
(Xem giải) Câu 2. Loại polymer nào sau đây có chứa nguyên tố nitrogen?
A. Polystyrene. B. Poly(vinyl chloride). C. Polyisoprene. D. Nylon-6,6.
(Xem giải) Câu 3. Một mẫu nước được thử nghiệm định tính để xác định sự có mặt của một số ion. Mẫu nước được cho vào 4 ống nghiệm, sau đó nhỏ mỗi loại thuốc thử vào mỗi ống nghiệm và ghi nhận hiện tượng như bảng dưới đây:
| Ống | Thuốc thử | Hiện tượng |
| 1 | Sodium carbonate (Na2CO3) | Xuất hiện kết tủa trắng |
| 2 | Barium chloride (BaCl2) | Xuất hiện kết tủa trắng |
| 3 | Sodium hydroxide (NaOH) | Xuất hiện kết tủa trắng |
| 4 | Nitric acid (HNO3) | Sủi bọt khí |
Mẫu nước trên có thể chứa những ion nào trong số các ion sau đây: (1) H+; (2) Ca2+; (3) SO42-; (4) HCO3-; (5) CO32-?
A. (1), (2), (3). B. (2), (3), (4). C. (3), (4), (5). D. (2), (3), (5).
(Xem giải) Câu 4. Thuỷ phân saccharose, thu được hai monosaccharide X và Y. Chất X có nhiều trong quả nho chín nên còn được gọi là đường nho. Phát biểu nào sau đây đúng?
A. X không có phản ứng tráng bạc. B. X có tính chất của alcohol đa chức
C. Y không tan trong nước. D. Y có phân tử khối bằng 342 amu.
(Xem giải) Câu 5. Thành phần dịch vị dạ dày gồm 95% là nước, enzyme và hydrochloric acid. Sự có mặt của hydrochloric acid làm cho pH của dịch vị trong khoảng từ 2 – 3. Khi độ acid trong dịch vị dạ dày tăng thì dễ bị ợ chua, ợ hơi, ói mửa, buồn nôn, loét dạ dày, tá tràng. Để làm giảm bớt lượng acid dư trong dịch vị dạ dày người ta thường uống thuốc muối dạ dày “Nabica” từng lượng nhỏ và cách quãng. Phát biểu nào sau đây là sai?
A. Công thức hoá học của thuốc muối “Nabica” là NaHCO3.
B. Khi uống từng lượng nhỏ và cách quãng thuốc muối “Nabica” thì pH của dịch vị dạ dày sẽ tăng từ từ.
C. Khi uống thuốc muối “Nabica” thì sẽ sinh ra khí carbon dioxide.
D. Nếu có 10 mL dịch vị dạ dày và coi pH của dạ dày hoàn toàn do hydrochloric acid gây ra, để nâng pH của dạ dày từ pH=1 lên pH=2 ta cần dùng hết 0,756 gam thuốc muối Nabica (với giả thiết Nabica là nguyên chất).
(Xem giải) Câu 6. Muối mono sodium glutamate (MSG) tạo vị umami (vị ngọt thịt) cho thực phẩm. Điều nào sau đây giải thích đúng nhất về glutamic acid trong thực tiễn dinh dưỡng?
A. Glutamic acid là amino acid thiết yếu nên phải bổ sung từ thực phẩm chức năng.
B. Glutamic acid tham gia dẫn truyền thần kinh, tạo cảm giác ngon miệng khi ăn.
C. Glutamic acid chuyển hóa trực tiếp thành glycerol tạo vị ngọt.
D. Glutamic acid không tham gia vào bất kỳ chức năng sinh học nào của cơ thể.
(Xem giải) Câu 7. Hiện tượng phú dưỡng là một biểu hiện của môi trường ao, hồ bị ô nhiễm do dư thừa các chất dinh dưỡng. Sự dư thừa dinh dưỡng chủ yếu do hàm lượng các ion nào sau đây vượt quá mức cho phép?
A. Sodium, potassium. B. Calcium, magnesium.
C. Nitrate, phosphate. D. Chloride, sulfate.
(Xem giải) Câu 8. Có bao nhiêu loại phối tử có trong phân tử phức chất cho sau đây?

A. 1. B. 2. C. 3. D. 4.
(Xem giải) Câu 9. Kim loại tungsten (W) được sử dụng làm dây tóc bóng điện. Ứng dụng này được dựa trên cơ sở tính chất vật lí nào sau đây của tungsten?
A. Tính dẫn nhiệt. B. Tỉ trọng nhỏ. C. Tính dẻo. D. Nhiệt độ nóng chảy.
(Xem giải) Câu 10. Cho từ từ dung dịch ethylamine vào ống nghiệm đựng dung dịch nitrous acid (hoặc dung dịch hỗn hợp acid HCl + NaNO2) ở nhiệt độ thường. Hiện tượng quan sát được trong ống nghiệm là
A. có kết tủa màu trắng. B. có kết tủa màu vàng.
C. có bọt khí không màu thoát ra. D. có khí màu nâu thoát ra.
(Xem giải) Câu 11. Công thức nào sau đây có thể là công thức của chất béo?
A. C15H31COOCH3. B. (C17H33COO)2C2H4.
C. CH3COOCH2C6H5. D. (C17H35COO)3C3H5.
(Xem giải) Câu 12. Linalyl acetate là một trong những thành phần của tinh dầu cam và mùi thơm của hoa oải hương. Cho công thức khung phân tử của linalyl acetate như sau:

Phát biểu nào sau đây là đúng?
A. Linalyl acetate là ester no, đơn chức.
B. Linalyl acetate có đồng phân hình học.
C. Linalyl acetate có vùng hấp thụ trong phổ hồng ngoại (IR) ở khoảng sóng với peak đặc trưng với số sóng có giá trị từ 3650 – 3200 cm–1.
D. Hydrogen hóa hoàn toàn linalyl acetate bằng H2 (xt, t°) thu được ester có công thức phân tử C12H24O2.
(Xem giải) Câu 13. Dẫn xuất halogen X dưới đây: BrCH2-CBr(CH3)2. Có thể tạo thành từ phản ứng giữa bromine với chất nào dưới đây?
A. 2-methylpropene. B. pent-1-ene. C. but-1-ene. D. but-2-ene.
(Xem giải) Câu 14. Cho biết: E°Cu2+/Cu = +0,340V; E°Fe2+/Fe = -0,440V. Sức điện động chuẩn của pin điện hoá Fe-Cu là
A. 0,780V B. 1,660V. C. 0,100V. D. 0,920V.
(Xem giải) Câu 15. Dãy gồm các kim loại phản ứng với nước ở nhiệt độ thường là
A. Na, Fe, K. B. Na, Cr, K. C. Be, Na, Ca. D. Na, Ba, K.
(Xem giải) Câu 16. Arginine là hợp chất có tác dụng giãn mạch nên được sử dụng để điều trị cho những người bị suy tim mãn tính, người có nồng độ cholesterol cao,… Công thức của arginine được cho ở hình bên dưới.

Cho các phát biểu sau:
(a) Arginine tham gia phản ứng với dung dịch KOH theo tỉ lệ mol 1 : 1.
(b) Dung dịch arginine làm quỳ tím chuyển sang màu đỏ.
(c) Phần trăm khối lượng của nguyên tố N trong arginine là 40,2%.
(d) Trong một phân tử arginine có 2 liên kết π.
Số phát biểu đúng là
A. 1. B. 2. C. 3. D. 4.
(Xem giải) Câu 17. Một số loại thực vật chỉ phát triển tốt ở môi trường có pH phù hợp, việc nghiên cứu pH của đất rất quan trọng trong nông nghiệp. Một số loại cây trồng phù hợp với đất có giá trị pH cho trong bảng sau:
| Cây trồng | pH thích hợp | Cây trồng | pH thích hợp |
| Bắp | 5,7 – 7,5 | Cây chè | 4,5 – 5,5 |
| Cà chua | 6,0 – 7,0 | Thanh long | 4,0 – 6,0 |
| Cải thảo | 6,5 – 7,0 | Lúa | 5,5 – 6,5 |
| Hành tây | 6,4 – 7,9 | Mía | 5,0 – 8,0 |
Một học sinh làm thí nghiệm xác định độ pH của đất như sau: Lấy một lượng đất cho vào nước rồi lọc lấy phần dung dịch. Dùng máy pH đo được giá trị pH là 5,2. Học sinh đó đưa ra các nhận định sau:
(a) Vùng đất trên phù hợp trồng cây chè và thanh long.
(b) Loại đất trên bị nhiễm chua, để trồng hành tây, cà chua, mía phát triển tốt ta cần khử chua cho đất bằng cách rắc vôi bột (chứa chủ yếu CaO) hoặc bón tro thực vật (tro đốt rơm rạ).
(c) Để cây cải thảo và hành tây phát triển tốt, ta cần bón nhiều đạm hai lá (NH4NO3) qua nhiều vụ liên tiếp để đất có giá trị pH phù hợp.
(d) Để cải tạo đất cằn cỗi thì một biện pháp hữu hiệu là sử dụng phân bón hữu cơ như phân chuồng, phân trùn quế.
Các nhận định đúng là
A. (a), (b), (d). B. (a), (c), (d). C. (b), (c), (d). D. (a), (b), (c).
(Xem giải) Câu 18. Cho dãy sắp xếp các kim loại theo chiều giảm dần tính khử: Na, Mg, Al, Fe. Trong số các cặp oxi hoá − khử sau, cặp nào có giá trị thế điện cực chuẩn nhỏ nhất?
A. Mg2+/Mg. B. Fe2+/Fe. C. Na+/Na. D. Al3+/Al.
PHẦN II. Câu trắc nghiệm đúng sai. Thí sinh trả lời từ câu 19 đến câu 22. Trong mỗi ý a), b), c), d) ở mỗi câu, thi sinh chọn đúng hoặc sai.
(Xem giải) Câu 19: Cho các dạng tồn tại của amino acid sau ở pH khác nhau:

Hãy cho biết những phát biểu sau đây là đúng hay sai?
a) Sơ đồ trên biểu diễn các dạng tồn tại của glycine ở pH khác nhau.
b) Đặt amino acid trên ở pH = 6 vào trong một điện trường, khi đó amino acid trên hầu như không dịch chuyển về phía cực âm hay cực dương.
c) Khi cho amino acid trên vào dung dịch HCl, thu được muối chứa anion như trên.
d) Khi cho amino acid trên vào dung dịch NaOH, thu được muối chứa cation như trên.
(Xem giải) Câu 20: Tinh luyện đồng (Cu) bằng phương pháp điện phân được tiến hành như sau: Các khối đồng có độ tinh khiết thấp được gắn với cực dương của nguồn điện; các tấm đồng mỏng có độ tinh khiết cao được gắn với cực âm của nguồn điện. Dung dịch điện phân là dung dịch CuSO4.
a) Tại anode chủ yếu xảy ra quá trình oxi hoá H2O thành khí O2 và H+.
b) Các tạp chất không bị điện phân sẽ được giữ lại tại anode.
c) Nồng độ ion Cu2+ trong dung dịch hầu như không đổi trong quá trình điện phân.
d) Khối lượng Cu tan ra từ anode bằng khối lượng Cu bám vào cathode.
(Xem giải) Câu 21: Cho cân bằng sau: [Co(OH2)6]2+(aq, màu hồng) + 4Cl-(aq) ⇋ [CoCl4]2-(aq, màu xanh) + 6H2O(l)
a) Phức chất [Co(OH2)6]2+ và phức chất [CoX4]2- có cùng dạng hình học.
b) Cho từ từ dung dịch KCl vào dung dịch Co(NO3)2, dung dịch chuyển từ màu hồng sang màu xanh.
c) Khi pha loãng dung dịch CoCl2, dung dịch chuyển từ màu xanh sang màu hồng.
d) Thêm dung dịch AgNO3 vào dung dịch CoCl2, xuất hiện kết tủa màu trắng và dung dịch chuyển sang màu hồng.
(Xem giải) Câu 22. Biodiesel (diesel sinh học) là một loại nhiên liệu lỏng, thân thiện hơn với môi trường so với diesel truyền thống. Biodiesel được sản xuất thông qua phản ứng giữa chất béo với các alcohol mạch ngắn (thường là methanol), với xúc tác là kiềm, thu được biodiesel (ester của acid béo) và glycerol. Một nhà máy tái chế dầu ăn đã qua sử dụng để sản xuất biodiesel theo phương trình phản ứng tổng quát sau:
(RCOO)3C3H5 + 3CH3OH (NaOH) → 3RCOOCH3 + C3H5(OH)3 (1)
a) Biodiesel có thành phần nguyên tố giống dầu diesel truyền thống.
b) Phương pháp trên giúp tận dụng dầu ăn đã qua sử dụng, giảm ô nhiễm môi trường do dầu ăn thải gây ra.
c) Phản ứng (1) là phản ứng thủy phân ester trong môi trường kiềm.
d) Từ 500 kg một loại dầu ăn đã qua sử dụng có chứa 86% chất béo (phân tử khối trung bình của chất béo là 860 amu), còn lại là tạp chất không có khả năng chuyển hóa thành biodiesel, có thể tạo tối đa 388,8 kg biodiesel dạng methyl ester với hiệu suất chuyển hóa là 90%.
PHẦN III. Câu trắc nghiệm trả lời ngắn. Thí sinh trả lời từ câu 23 đến câu 28.
(Xem giải) Câu 23. Thủy phân hoàn toàn 1 mol peptide X mạch hở, thu được 3 mol Gly, 1 mol Ala và 1 mol Val. Nếu thủy phân không hoàn toàn X thì thu được hỗn hợp sản phẩm trong đó có Ala-Gly, Gly-Ala, Gly-Gly-Ala nhưng không có Val-Gly. Trong phân tử X có chứa a liên kết peptide. Amino acid đầu C trong peptide X có phân tử khối là b. Tổng giá trị a + b là bao nhiêu?
(Xem giải) Câu 24. Aniline dễ tham gia phản ứng với nước bromine tạo kết tủa trắng 2,4,6-tribromoaniline. Phân tử khối của 2,4,6-tribromoaniline là bao nhiêu?
(Xem giải) Câu 25. Theo khuyến nghị của Bộ Y tế Việt Nam, năng lượng cần thiết đối với nữ giới độ tuổi từ 15 – 19 và có mức vận động thể lực nhẹ là khoảng 2110 kcal mỗi ngày/người. Trong đó có 55 – 65% năng lượng nên được cung cấp từ nhóm bột đường. Biết rằng trong cơ thể, tinh bột được thủy phân hoàn toàn thành glucose, sau đó glucose bị oxi hóa hoàn toàn để cung cấp năng lượng cho tế bào. Phản ứng oxi hóa hoàn toàn glucose trong cơ thể như sau:
C6H12O6(aq) + 6O2(g) → 6CO2(g) + 6H2O(l)
Biến thiên enthalpy tạo thành chuẩn của các chất:
| Chất | C6H12O6(aq) | CO2(g) | H2O(l) |
(kJ/mol) |
−1349 | −393 | −286 |
Một nữ sinh thực hiện chế độ ăn 2110 kcal/ngày với 60% năng lượng từ tinh bột. Hãy tính khối lượng tinh bột (tính bằng gam) mà nữ sinh này cần ăn mỗi ngày để đáp ứng đủ nhu cầu năng lượng từ tinh bột theo chế độ. (Làm tròn kết quả đến hàng đơn vị, biết 1 kcal = 4,18 kJ)
(Xem giải) Câu 26. Xăng E5 là một loại xăng sinh học, được tạo thành khi trộn 5 thể tích C2H5OH (D = 0,8 g/mL) với 95 thể tích xăng truyền thống. Giả sử xăng truyền thống chỉ chứa hai alkane C8H18 và C9H20 (tỷ lệ mol tương ứng 3 : 4, D = 0,7 g/mL). Biết nhiệt lượng tỏa ra khi đốt cháy 1 mol các chất trong xăng E5 như sau:
| Thành phần xăng E5 | C2H5OH | C8H18 | C9H20 |
| Nhiệt tỏa ra (kJ/mol) | 1365,0 | 5928,7 | 6119,8 |
Trung bình, một chiếc xe máy di chuyển được 1 km thì cần một nhiệt lượng chuyển thành công cơ học có độ lớn là 211,8 kJ. Nếu chiếc xe máy đó di chuyển từ Đà Nẵng đến Huế với quãng đường là 100 km thì hết khoảng bao nhiêU lít xăng – làm tròn đến hàng phần mười? (biết hiệu suất sử dụng nhiên liệu của động cơ xe máy là 30%)
(Xem giải) Câu 27. Quặng argentite (sau khi đã tuyển quặng) có hàm lượng Ag2S là 86,8% (còn lại là tạp chất trơ). Từ loại quặng này người ta tách lấy kim loại Ag theo các bước sau:
• Bước 1: Xử lí quặng này với dung dịch NaCN bằng phương pháp nghiền ướt xảy ra phản ứng sau:
(1) Ag2S + 4NaCN → 2Na[Ag(CN)2] + Na2S
(2) 2NaCN + 2Na2S + 2H2O + O2 → 2NaSCN + 4NaOH
• Bước 2: Cho bột kẽm (Zn) vào dung dịch thu được xảy ra phản ứng
2Na[Ag(CN)2] + Zn → Na2[Zn(CN)4] +2Ag
• Bước 3: Hòa tan hỗn hợp kim loại sau phản ứng trong H2SO4 loãng thu được kim loại Ag.
Biết các phản ứng xảy ra hoàn toàn, lượng Zn dùng dư 2% so với lượng cần thiết. Khi xử lí 1 tấn quặng argentite ở trên thì cần dùng bao nhiêu kg Zn? (kết quả làm tròn số đến hàng đơn vị)
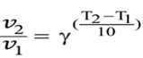
(Xem giải) Câu 28. Mối liên hệ của hệ số Van’t Hoff với tốc độ và nhiệt độ như sau:

Trong đó v1, v2 là tốc độ phản ứng ở nhiệt độ T1 và T2 tương ứng.
Ở vùng đồng bằng (độ cao gần mực nước biển), nước sôi ở 100°C. Trên đỉnh núi Fansipan (cao 3200m so với mực nước biển), nước sôi ở 90°C. Khi luộc chín một miếng thịt trong nước sôi, ở vùng đồng bằng mất 3,2 phút (min), trong khi trên đỉnh núi Fansipan mất 3,8 phút. Nếu luộc miếng thịt trên đỉnh núi cao hơn, tại đó nước sôi ở 80°C thì mất bao nhiêu phút để luộc chín miếng thịt? (Làm tròn kết quả đến hàng phần mười)

(kJ/mol)
Bình luận