[2025 – 2026] Thi học sinh giỏi lớp 12 – Tỉnh Bắc Ninh
⇒ File word đề thi, đáp án và giải chi tiết
⇒ Tổng hợp đề hsg theo năm học
⇒ Mã đề 024-H12A năm 2025-2026
⇒ Thời gian làm bài: 90 phút
⇒ Bảng đáp án phần trắc nghiệm:
| 1D | 2A | 3A | 4C | 5C | 6B | 7B | 8A | 9C | 10B |
| 11A | 12A | 13D | 14D | 15B | 16C | 17A | 18C | 19D | 20D |
| 21C | 22B | 23D | 24B | 25A | 26C | 27D | 28C | 29B | 30B |
| 31 | 32 | 33 | 34 |
35 | 36 | 37 | 38 | |
| (a) | S | Đ | Đ | S | S | S | Đ | Đ |
| (b) | Đ | S | Đ | S | Đ | S | Đ | Đ |
| (c) | S | Đ | S | S | Đ | Đ | S | Đ |
| (d) | S | Đ | Đ | S | S | S | Đ | Đ |
| 39 | 40 | 41 | 42 | 43 | 44 |
| 14 | 123 | 720 | 243 | 1234 | 1 |
PHẦN I. Câu trắc nghiệm nhiều phương án lựa chọn. Thí sinh trả lời từ câu 1 đến câu 30. Mỗi câu hỏi thí sinh chỉ chọn một phương án.
(Xem giải) Câu 1. Có thể sử dụng bột đá vôi để xử lí khí thải chứa sulfur dioxide. Phương trình hóa học của phản ứng xảy ra như sau: CaCO3(s) + SO2(g) → CaSO3(s) + CO2(g)
Nhiệt tạo thành chuẩn của các chất được cho trong bảng sau:
| Chất | CaCO3(s) | SO2(g) | CaSO3(s) | CO2(g) |
| -1207,6 | -296,8 | -1634,9 | -393,5 |
Cho các phát biểu sau:
(a) Phản ứng chuyển hóa CaCO3 thành CaSO3 thuộc loại phản ứng oxi hóa – khử.
(b) Biến thiên enthalpy chuẩn của phản ứng (1) là -524 kJ. (Kết quả làm tròn đến hàng đơn vị)
(c) Khi hấp thụ 371,85 lít khí SO2 (ở đkc) bởi lượng dư CaCO3 sẽ giải phóng 786 kJ. (Kết quả làm tròn đến hàng đơn vị)
(d) Trong phản ứng (1) đá vôi được dùng ở dạng bột để tăng diện tích tiếp xúc giữa đá vôi với khí sulfur dioxide nhằm tăng tốc độ phản ứng.
Số phát biểu đúng là
A. 4. B. 3. C. 1. D. 2.
(Xem giải) Câu 2. Ester X có công thức phân tử C4H8O2. Số đồng phân cấu tạo của X là
A. 4. B. 3. C. 2. D. 5.
(Xem giải) Câu 3. Phát biểu nào sau đây không đúng?
A. Tính cứng tạm thời là tính cứng gây nên bởi các muối sulfate, chloride của calcium và magnesium.
B. Thành phần chính của đá vôi là CaCO3.
C. Có thể sử dụng vôi sống để khử chua đất trồng trọt trong canh tác nông nghiệp.
D. Sodium được bảo quản trong phòng thí nghiệm bằng cách ngâm chìm trong dầu hỏa khan.
(Xem giải) Câu 4. Cho peptide X có công thức Gly-Ala-Val-Glu-Gly-Phe. Số liên kết peptide trong X là
A. 4. B. 3. C. 5. D. 2.
(Xem giải) Câu 5. Xét cân bằng hóa học: 2NO2 (g, màu nâu đỏ) ⇋ N2O4 (g, không màu)
Tiến hành thí nghiệm như sau:
• Bước 1: Lấy 3 ống nghiệm chứa khí NO2 có màu giống nhau, được nút kín và đánh số thứ tự (1), (2), (3).
• Bước 2: Ngâm ống nghiệm (2) vào cốc nước đá, ống nghiệm (3) vào cốc nước nóng trong 2 phút, như hình minh họa sau:

Sau 2 phút, nhận thấy màu của ống nghiệm (2) nhạt hơn màu của ống nghiệm (1). Cho các phát biểu sau:
(a) Thí nghiệm trên nhằm chứng minh ảnh hưởng của nhiệt độ tới cân bằng hóa học.
(b) Chiều giảm dần độ đậm màu của các ống nghiệm là (1) > (2) > (3).
(c) Tỉ khối của hỗn hợp khí trong ống nghiệm so với H2 sẽ tăng khi tăng nhiệt độ.
(d) Ống nghiệm (2) nhạt màu hơn ống nghiệm (1), chứng tỏ phản ứng thuận là phản ứng tỏa nhiệt.
Số phát biểu đúng là
A. 1. B. 4. C. 2. D. 3.
(Xem giải) Câu 6. Cho các chất là một trong số các chất (không theo thứ tự): acetic acid, methyl formate, ethyl alcohol, ethyl formate. Nhiệt độ sôi của được cho trong bảng sau:
| Chất | X | Y | Z | T |
| Nhiệt độ sôi (°C) | 31,5 | 78,3 | 117,9 | 54,2 |
Cho các phát biểu sau:
(a) Y tan tốt trong nước.
(b) X là ethyl formate.
(c) Thủy phân T trong dung dịch NaOH đun nóng, thu được muối sodium acetate.
(d) Dung dịch Z (nồng độ của Z từ 2% đến 5%) được sử dụng làm giấm ăn.
(e) Có thể sử dụng dung dịch Y để loại bỏ lớp cặn (chứa CaCO3) bám vào đáy và thành ấm đun nước.
Số phát biểu đúng là
A. 3. B. 2. C. 1. D. 4.
(Xem giải) Câu 7. Trong công nghiệp, kim loại magnesium (Mg) được sản xuất từ quặng carnalite (có thành phần chính là KCl.MgCl2.6H2O) bằng phương pháp điện phân nóng chảy. Trước khi điện phân, carnalite được nung nóng để loại bỏ nước. Khi điện phân, KCl có vai trò hạ nhiệt độ nóng chảy của hỗn hợp, giúp giảm chi phí sản xuất. Sơ đồ thiết bị quá trình điện phân được mô tả như hình bên:

Cho các phát biểu sau:
(a) Tại cathode xảy ra quá trình: Mg2+ + 2e → Mg.
(b) Tại anode xảy ra quá trình: 2H2O → O2 + 4H+ + 4e.
(c) Khí trơ được sử dụng trong quá trình điện phân trên là khí nitrogen.
(d) Khối lượng riêng của kim loại Mg nóng chảy nhỏ hơn khối lượng riêng của hỗn hợp MgCl2 và KCl nóng chảy.
(e) Bằng phương pháp trên, nếu dùng 1 tấn quặng carnalite (chứa 43% KCl.MgCl2.6H2O về khối lượng, còn lại là tạp chất không chứa magnesium) với hiệu suất cả quá trình sản xuất là 75% thì thu được 27,9 kg magnesium. (Kết quả làm tròn đến hàng phần mười)
Số phát biểu đúng là
A. 5. B. 3. C. 4. D. 2.
(Xem giải) Câu 8. Cho một số chất có công thức cấu tạo dưới đây:

Số chất có 5 nguyên tử carbon trong phân tử là
A. 4. B. 1. C. 3. D. 2.
(Xem giải) Câu 9. Biodiesel (diesel sinh học) là một loại nhiên liệu lỏng, thân thiện với môi trường hơn so với diesel truyền thống. Biodiesel được sản xuất thông qua phản ứng giữa chất béo với các alcohol mạch ngắn (thường là methyl alcohol) với xúc tác là kiềm, thu được biodiesel (ester của acid béo) và glycerol. Một nhà máy sản xuất biodiesel từ dầu ăn đã qua sử dụng, phản ứng tạo thành biodiesel (dạng methyl ester) xảy ra như sau:
(RCOO)3C3H5 + 3CH3OH (NaOH) → 3RCOOCH3 + C3H5(OH)3
Cho các phát biểu sau:
(a) Biodiesel có thành phần nguyên tố giống với diesel truyền thống.
(b) Biodiesel thân thiện với môi trường vì khi cháy hoàn toàn không tạo ra khí gây hiệu ứng nhà kính.
(c) Phương pháp sản xuất biodiesel trên giúp tận dụng dầu ăn đã qua sử dụng, góp phần giảm ô nhiễm môi trường do dầu ăn thải gây ra.
(d) Bằng phương pháp trên, nếu dùng 5 tấn một loại dầu ăn đã qua sử dưng chứa 86% chất béo (phân tử khối trung bình của chất béo là 860, các tạp chất không có khả năng chuyển hóa thành biodiesel) với hiệu suất của quá trình sản xuất là 90% thì thu được 3888 kg biodiesel. (Kết quả làm tròn đến hàng đơn vị).
Số phát biểu đúng là
A. 4. B. 1. C. 2. D. 3.
(Xem giải) Câu 10. Thế điện cực chuẩn của một số kim loại được cho trong bảng sau:
| Cặp oxi hóa – khử | Na+/Na | Al3+/Al | Fe2+/Fe | Ni2+/Ni | Cu2+/Cu | Ag+/Ag |
| E° (V) | -2,713 | -1,676 | -0,440 | -0,257 | +0,340 | +0,799 |
Cho các kim loại sau: Na, Al, Fe, Ni, Ag; số kim loại khử được ion Cu2+ trong dung dịch là
A. 4. B. 3. C. 1. D. 2.
(Xem giải) Câu 11. Cho các phản ứng:
(a) 2NO2 + 2NaOH → NaNO3 + NaNO2 + H2O
(b) Ca(OH)2 + Cl2 → CaOCl2 + H2O
(c) 4S + 6NaOH (đặc, nóng) → 2Na2S + Na2S2O3 + 3H2O
(d) O3 → O2 + O
(e) Fe3O4 + 4H2SO4 (loãng) → FeSO4 + Fe2(SO4)3 + 4H2O
(g) CH2=CH2 + Br2 → BrCH2-CH2Br
Số phản ứng không thuộc loại phản ứng oxi hoá – khử là
A. 2. B. 1. C. 4. D. 3.
(Xem giải) Câu 12. Papain là một loại enzyme có nguồn gốc từ thực vật có tác dụng thủy phân protein, được chiết xuất từ quả đu đủ xanh. Papain rất tốt cho hệ tiêu hóa, giúp tiêu hóa thức ăn giàu protein một cách dễ dàng hơn. Vì vậy, papain được sử dụng trong sản xuất một số loại thuốc điều trị bệnh về tiêu hóa. Công thức cấu tạo của papain như hình sau:

Cho các phát biểu sau:
(a) Trong phân tử papain có chứa nhóm amino và nhóm carboxyl.
(b) Cho papain tác dụng với dung dịch NaOH đun nóng thu được hai muối của hai α-amino acid.
(c) Những người bị dị ứng với nhựa đu đủ được khuyển cáo không nên sử dụng thuốc chứa papain.
(d) Thủy phân hoàn toàn a mol papain trong dung dịch HCl dư thì có tối đa a mol HCl phản ứng.
Số phát biểu đúng là
A. 2. B. 4. C. 3. D. 1.
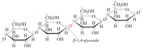
(Xem giải) Câu 13. Maltose là disaccharide có trong một số hạt này mầm, maltose chủ yếu được tạo ra trong quá trình thủy phân tinh bột. Maltose bị thủy phân trong môi trường acid hoặc khi có enzyme maltase tạo ra glucose. Trong dung dịch nước, tồn tại cân bằng giữa hai dạng cấu tạo (I) và (II) của maltose như sau:

Cho các phát biểu sau:
(a) Hai dạng cấu tạo (I) và (II) của maltose đều chứa 8 nhóm hydroxy (-OH) trong phân tử.
(b) Dạng cấu tạo (I) có ít liên kết σ (xích ma) hơn dạng cấu tạo (II).
(c) Liên kết giữa hai đơn vị monosaccharide trong phân tử maltose là liên kết α-1,2-glycoside.
(d) Khi cho nước bromine vào dung dịch maltose thì cân bằng trên chuyển dịch theo chiều thuận.
Số phát biểu đúng là
A. 1. B. 3. C. 4. D. 2.
(Xem giải) Câu 14. Cho các polymer sau: polypropylene, poly(vinyl chloride), polybuta-1,3-diene, poly(methyl methacrylate), nylon-6,6. Số polymer được điều chế bằng phản ưng trùng hợp là:
A. 2. B. 5. C. 3. D. 4.
(Xem giải) Câu 15. Melamine là hợp chất hữu cơ tan ít trong nước, được dùng để sản xuất nhựa melamineformaldehyde (MF), lớp phù bề mặt gỗ công nghiệp (MDF),… Do hàm lượng nitrogen trong melamine cao nên đã có cơ sở sản xuất thêm melamine vào sữa trong quá trình chế biến để tạo hàm lượng đạm giả trong sữa, gây nguy hại đến sức khỏe người tiêu dùng. Trong công nghiệp, melamine được tổng hợp bằng phản ứng nhiệt phân urea dưới áp suất cao (400°C, 100 bar, hiệu suất đạt 95%), sản phẩm của phản ứng chỉ gồm melamine, ammonia và khí carbonic. Melamine có công thức cấu tạo như sau:

Cho các phát biểu sau:
(a) Melamine có công thức đơn giàn nhất là CH2N2.
(b) Melamine có 12 liên kết σ (xích ma) trong phân từ.
(c) Melamine thuộc loại arylamine.
(d) Biết độ đạm được tính bằng số gam nitrogen có trong 1 lit sữa. Nếu thêm 30 gam melamine vào 10 lít sữa thì sẽ tăng 3 độ đạm. (Kết quả làm tròn đến hàng đơn vì)
(e) Để tổng hợp 1,5 tấn melamine theo phương pháp ở trên cần dùng 4,5 tấn urea. (Kết quả làm tròn đến hàng phần mười)
Số phát biểu đúng là
A. 1. B. 2. C. 4. D. 3.
(Xem giải) Câu 16. Thực hiện sản xuất ethyl alcohol từ nguyên liệu là hạt ngô (khô) theo sơ đồ sau: (C6H10O5)n → C6H12O6 → C2H5OH (hiệu suất lần lượt là 92% và 81%). Từ 2 tấn hạt ngô trên (chứa 69% khối lượng là tinh bột, còn lại là tạp chất không lên men tạo ethyl alcohol) có thể điều chế được V lít cồn 96°. Biết ethyl alcohol có khối lượng riêng là 0,8 g/mL. Giá trị của V là (Kết quà làm tròn đến hàng đơn vị)
A. 1020. B. 380. C. 760. D. 938.
(Xem giải) Câu 17. Cho hỗn hợp X gồm: Na2O, NH4NO3, NaHCO3 và Ca(NO3)2 (số mol mỗi chất đều bằng nhau) vào nước dư, đun nóng. Sau khi các phản ứng xảy ra hoàn toàn thu được dung dịch chứa:
A. NaNO3. B. NaHCO3, NaOH, Ca(NO3)2, NH4NO3.
C. NaNO3, Na2CO3, NH4NO3. D. NaNO3, NaOH.
(Xem giải) Câu 18. Cho biết mỗi chất X, Y, Z là một trong số các chất H2O, HBr, HF. Nhiệt độ nóng chảy và nhiệt độ sôi của X, Y, Z được cho trong bảng sau:
| Chất | Nhiệt độ nóng chảy (°C) | Nhiệt độ sôi (°C) |
| X | -86,9 | -66,8 |
| Y | -83,6 | 19,5 |
| Z | 100 |
Phát biểu nào sau đây đúng?
A. X là HBr, Y là H2O, Z là HF. B. X là HF, Y là H2O, Z là HBr.
C. X là HBr, Y là HF, Z là H2O. D. X là HF, Y là HBr, Z là H2O.
(Xem giải) Câu 19. Các chất A, B và C có công thức cấu tạo như sau:

Cho các phát biểu sau:
(a) Các chất A, B, C là đồng phân của nhau.
(b) Có 2 chất phản ứng được với NaOH trong dung dịch.
(c) Có 3 chất phản ứng được với NaHCO3 trong dung dịch.
(d) Có 1 chất phản ứng với iodine trong môi trường kiềm tạo ra kết tủa màu vàng.
Số phát biểu đúng là
A. 4. B. 2. C. 1. D. 3.
(Xem giải) Câu 20. Cho các chất: Cl2, CO2, MgO, HCl, CH4, NaNO3, H2O. Trong số các chất đã cho có bao nhiêu chất chứa liên kết cộng hoá trị?
A. 4. B. 7. C. 5. D. 6.
(Xem giải) Câu 21. Cho các phát biểu sau:
(a) Nguyên tắc làm mềm nước cứng là làm giảm nồng độ các cation Mg2+ và Ca2+ trong nước cứng.
(b) Dùng Ca(OH)2 với lượng vừa đủ có thể làm mất tính cứng tạm thời của nước.
(c) Dùng Na2CO3 dư có thể làm mất tính cứng vĩnh cửu của nước.
(d) Phương pháp trao đổi ion làm giảm được tính cứng tạm thời nhưng không thể làm giảm được tính cứng vĩnh cửu của nước.
(e) Vật liệu trao đổi ion thường được làm từ các loại nhựa. Cationite là một loại nhựa trao đổi cation có thể làm mềm nước cứng theo phương trình sau: M2+ 2RSO3X → (RSO3)2M + 2X+ (Trong đó M2+ là kí hiệu chung của Ca2+, Mg2+; X+ là H+ hoặc Na+). Khi dùng 1,50 kg một loại cationite (có phần trăm khối lượng sulfur là 7,94%; sulfur chỉ tồn tại ở dạng RSO3X) có thể loại bỏ tối đa 1,86 mol M2+. (Kết quả làm tròn đến hàng phần trăm)
Số phát biểu đúng là
A. 5. B. 3. C. 4. D. 2.
(Xem giải) Câu 22. Trong công nghiệp, đồng được tinh chế bằng phương pháp điện phân đồng thô (các tạp chất trong đồng thô được coi là tạp chất trơ). Bình điện phân tinh chế đồng chứa dung dịch CuSO4 trong dung dịch H2SO4. Cho các phát biểu sau về quá trình tinh chế đồng bằng phương pháp điện phân:
(a) Anode là đồng thô.
(b) Cathode là đồng tinh khiết.
(c) Tại anode, xảy ra quá trình: Cu2+(aq) + 2e → Cu(s).
(d) Kết thúc quá trình điện phân, đồng tinh khiết thu được tại cathode.
(e) Để quá trình điện phân xảy ra người ta nối anode của bình điện phận với cực âm của nguồn điện và cathode của bình điện phân với cực dương của nguồn điện.
Số phát biểu đúng là
A. 4. B. 3. C. 2. D. 1.
(Xem giải) Câu 23. Giấm ăn là dung dịch acetic acid có nồng độ từ 2 – 5%, thường được điều chế bằng phương pháp lên men dung dịch ethyl alcohol loãng ở điều kiện thường, dưới tác dụng của men giấm. Lấy 4,6 lit ethyl alcohol 8° lên men với hiệu suất đạt 30% người ta thu được dung dịch giấm ăn. Biết rằng DC2H5OH = 0,8 g/mL và DH2O = 1 g/mL. (Coi thể tích ethyl alcohol 8° bằng tổng thể tích của ethyl alcohol nguyên chất và nước). Nồng độ phần trăm của acetic acid trong giấm ăn vừa được điều chế là a%. Giá trị của a là (Kết quả làm tròn đến hàng phần trăm)
A. 2,55. B. 3,27. C. 4,06. D. 2,51.
(Xem giải) Câu 24. Poly(butylene adipate terephtalate) (PBAT) là một loại tơ có khả năng phân hủy sinh học, có tên thương mại là Ecoflex. Nhờ có đặc tính tương tự như polyethylene mật độ thấp (LDPE) mà PBAT được sử dụng làm túi nylon, bao bì thực phẩm dể phân hủy sinh học. PBAT được tổng hợp từ ba monomer có công thức cấu tạo p-HOOC-C6H4-COOH, HO-[CH2]4-OH, HOOC-[CH2]4-COOH. Cho các phát biểu sau:
(a) PBAT là polymer kém bền trong môi trường base nhưng bền trong môi trường acid.
(b) Phản ứng tổng hợp PBAT thuộc loại phản ứng trùng hợp.
(c) Túi nylon làm từ PBAT thân thiện với môi trường hon so với túi nylon làm từ LDPE.
(d) Trong phân tử PBAT có chứa nhóm chức ester.
(e) Tương tự như polyethylene, PBAT thuộc loại chất dẻo.
Số phát biểu đúng là
A. 1. B. 2. C. 3. D. 4.
(Xem giải) Câu 25. Xà phòng và chất giặt rửa được sử dụng rộng rãi trong đời sống: rửa tay, giặt quần áo, rửa chén bát, lau sàn,… Cơ chế giặt rửa của xà phòng và chất giặt rửa được mô tả như sau:

Cho các phát biểu sau:
(a) Các chất CH3[CH2]11C6H4SO3Na và CH3[CH2]11OSO3Na là xà phòng.
(b) Cấu tạo chung của xà phòng và chất giặt rửa phổ biến gồm hai phần: một phần ưa nước nối với một phần kị nước, trong đó phần kị nước là các gốc hydrocarbon mạch dài (R) không tan trong nước.
(c) Saponin trong quả bồ hòn và quả bồ kết có khả năng giặt rửa. Khi tiếp xúc với nước, saponin tạo ra lớp bọt nhẹ tương tự xà phòng.
(d) Xà phòng bị giảm tác dụng giặt rửa khi dùng với nước cứng vì tạo kết tủa với cation Mg2+, Ca2+.
(e) Khi cho xà phòng, chất giặt rửa vào nước sẽ tạo thành dung dịch có sức căng bề mặt nhỏ làm cho vật cần giặt rửa dễ thẩm ướt.
Số phát biểu đúng là
A. 4. B. 2. C. 5. D. 3.
(Xem giải) Câu 26. Để tái chế nhôm, người ta có thể sử dụng phế liệu nhôm như vỏ các lon, hộp chứa nước giải khát hay thực phẩm. Phế liệu nhôm còn lẫn các tạp chất là các hợp chất hữu cơ và vô cơ (có trong nhãn, mác in hoặc sơn trên vỏ lon, hộp). Trong quá trình tái chế, phế liệu nhôm được cắt, băm nhỏ rồi cho vào lò nung đến khi chảy lỏng. Phần lớn các tạp chất biến thành xỉ lỏng, nổi lên trên và được vớt ra khỏi lò, phần còn lại trong lò là nhôm tái chế ở trạng thái nóng chảy. Cho các phát biểu sau:
(a) Việc cắt, băm nhỏ phế liệu nhôm giúp cho quá trình nung chảy xảy ra nhanh hơn.
(b) So với quá trình tách kim loại nhôm từ quặng bauxite thì tái chế nhôm giúp tiết kiệm nguồn tài nguyên, bảo vệ môi trường, tiết kiệm nguyên liệu, nhiên liệu, gia tăng giá trị kinh tế.
(c) Hiện nay trên thế giới, nhôm được tái chế nhiều hơn sắt (dưới dạng thép).
(d) Nhôm có thể được tái chế nhiều lần mà không mất đi các tính chất vốn có của nó.
(e) Trong quá trình tái chế nhôm có xảy ra sự nóng chảy và đông đặc.
Số phát biểu đúng là
A. 3. B. 2. C. 4. D. 5 .
(Xem giải) Câu 27. Phát biểu nào sau đây không đúng?
A. Trong phân tử methylamine, nguyên tử nitrogen có số oxi hóa là -3.
B. Glutamic acid có tính chất lưỡng tính.
C. Protein bị đông tụ khi được đun nóng.
D. Dung dịch aniline làm quỳ tím chuyển sang màu xanh.
(Xem giải) Câu 28. Hợp chất hữu cơ X (methyl anthranilate) là một chất không thấm nước, được tổng hợp và sử dụng rộng rãi. Công thức cấu tạo của X như sau:

Cho các phát biểu sau:
(a) Phân tử khối của X bằng 151.
(b) X phản ứng với NaOH trong dung dịch theo tỉ lệ mol tưong ứng là 1 : 2.
(c) X phản ứng với HCl trong dung dịch tạo ra muối.
(d) Cho 1,51 gam X vào 200 mL dung dịch NaOH 0,10 M đun nóng, sau khi phản ứng xảy ra hoàn toàn thu được dung dịch Y. Cho dung dịch HCl dư vào Y thu được dung dịch Z chứa m gam muối. Giá trị của m là 2,54. (Kết quả làm tròn đến hàng phần trăm)
Số phát biểu đúng là
A. 3. B. 4. C. 2. D. 1.
(Xem giải) Câu 29. Khí thải động cơ xăng (hoặc dầu) ngoài thành phần là carbon dioxide và hơi nước, còn có thể có carbon monoxide, các oxide của nitrogen và hydrocarbon chưa bị cháy hết. Để giảm bớt tác hại của khí thải với môi trường, bên cạnh việc tăng hiệu quả đốt cháy, người ta còn sử dụng bộ chuyển đổi xúc tác (đưa chất xúc tác vào ống xả của động cơ) giúp chuyển hóa các chất ô nhiễm, chất độc hại trong khí thải thành những chất ít gây hại hơn. Một bộ chuyển đổi xúc tác được minh họa như hình sau:

Phản ứng nào sau đây xảy ra trong bộ chuyển đổi xúc tác không chuyển hóa được hoàn toàn các chất ô nhiễm, chất độc hại trong khí thải thành những chất ít gây hại hơn? (Biết CaHb là hydrocarbon; NOx là các oxide của nitrogen)
A. CO + O2 → CO2. B. CaHb + NOx → H2O + CO + N2.
C. CaHb + NOx → H2O + CO2 + N2. D. CO + NOx → CO2 + N2.
(Xem giải) Câu 30. Phương pháp Solvay được sử dụng rộng rãi để sản xuất baking soda (NaHCO3) và soda (Na2CO3) trong công nghiệp, phương pháp này được minh họa theo sơ đồ sau:

Cho các phát biểu sau:
(a) Phương pháp kết tinh đã được áp dụng khi tách NaHCO3 từ dung dịch ở tháp carbonate hóa (2).
(b) Sử dụng CaO (từ quá trình nung đá vôi (1)) và NH4Cl (từ tháp carbonate hóa (2)) để tái tạo NH3.
(c) Trong thực tế sản xuất, người ta sử dụng BaCO3 thay cho CaCO3 ở (1).
(d) Theo phương pháp Solvay, nếu dùng 1170 kg NaCl (già thiết không có tạp chất) với hiệu suất của cả quá trình sản xuất là 80% thì thu được 848 kg Na2CO3. (Kết quả làm tròn đến hàng đơn vị).
Số phát biểu đúng là
A. 2. B. 3. C. 1. D. 4.
PHẦN II. Câu trắc nghiệm đúng sai. Thí sinh trả lời từ câu 31 đến câu 38. Trong mỗi ý a), b), c), d) ở mỗi câu, thí sinh chọn đúng hoặc sai.
(Xem giải) Câu 31. Khi cho cao su thiên nhiên tác dụng với lưu huỳnh thu được cao su lưu hóa. Cao su lưu hóa có các cầu nối disulfide (-S-S-) liên kết các chuỗi polymer lại với nhau tạo thành mạng lưới không gian được minh họa như hình sau:

a) Trong một loại cao su lưu hóa có 2,0% sulfur về khối lượng, nếu già thiết rằng sulfur đã thay thế H ở nhóm methylene trong mạch cao su, thì trung bình cứ 64 mắt xích isoprene sẽ có một cầu disulfide (-S-S-). (Kết quả làm tròn đến hàng đơn vị)
b) Cao su thiên nhiên tan trong dung môi xăng tốt hơn cao su lưu hóa.
c) Phản ứng lưu hóa cao su thiên nhiên thuộc loại phản ứng giữ nguyên mạch polymer.
d) Khi trùng hợp isoprene có chất xúc tác, ở nhiệt độ và áp suất thích hợp thì thu được cao su thiên nhiên.
(Xem giải) Câu 32. Cho carbohydrate X có cấu tạo như sau:

a) Các nhóm hydroxyl trong X phản ứng với dung dịch nitric acid đặc khi có mặt sulfuric acid đặc, tạo ra các sản phẩm như cellulose trinitrate, cellulose dinitrate tùy thuộc vào điều kiện phản ứng. Hỗn hợp Y gồm cellulose trinitrate, cellulose dinitrate, nếu trong Y có phần trăm khối lượng của nguyên tố nitrogen là 13,37 % thì phần trăm khối lượng nguyên tố oxygen là a%. Giá trị của a là 58,72 (Kết quả làm tròn đến hàng phần trăm)
b) Công thức phân tử của X là C6H10O5.
c) Trong mỗi mắt xích của X có 3 nhóm -OH.
d) Carbohydrate X thuộc loại polysaccharide.
(Xem giải) Câu 33. Năm 2025, toàn tỉnh Bắc Ninh có diện tích trồng bưởi khoảng 54000 ha, tập trung tại các xã, phường như: Lục Ngạn, Lục Sơn, Nghĩa Phương, Đông Phú,… sản lượng ước tính đạt 48000 tấn. Trong vỏ quả bưởi có chứa nhiều tinh dầu, có mùi thơm đặc trung và các tác dụng dược lý. Nhóm chất chính trong tinh dầu vỏ bười là một số terpenes (các hydrocarbon có công thức chung là (C5H8)n, n ≥ 2). Trong một dự án STEM, một nhóm học sinh đưa ra giả thuyết nghiên cứu: “Có thể tách được tinh dầu từ vỏ quả bưởi bằng phương pháp chung cất lôi cuốn hơi nước ở khoảng nhiệt độ sôi của nước”. Để kiểm chứng, nhóm tiến hành thí nghiệm theo mô hình như hình vẽ và quy trình sau:

• Bước 1: Cho một lượng vỏ quả bưởi tươi đã cắt nhỏ vào bình chứa nguyên liệu (4).
• Bước 2: Lắp đặt hệ thống chưng cất, cho dòng nước làm mát chảy vào từ cửa dưới (6) và chảy ra ở cửa trên (7) của bộ phận ngưng tụ.
• Bước 3: Đun sôi nước ở bình (2) đề hơi nước (3) đi qua bình chứa vỏ quả bưởi (4).
• Bước 4: Thu hỗn hợp lỏng ngưng tụ (8) vào bình tách (9) và để yên cho hỗn hợp tách lớp.
a) Ở bước 2 cho dòng nước làm mát chảy ngược chiều dòng hơi nước nóng, là một bước kỹ thuật quan trọng nhằm đảm bảo hơi được ngưng tụ một cách hiệu quả.
b) Từ kết quà của thí nghiệm có thể kết luận giả thiết của nhóm học sinh đưa ra là đúng.
c) Hơi nước làm tinh dầu bay hơi, chứng tỏ các chất trong tinh dầu đều có nhiệt độ sôi thấp hơn nhiệt dộ sôi của nước.
d) Trong bình tách (9), lớp tinh dầu ở phía trên, từ đó có thể kết luận khối lượng riêng của tinh dầu nhỏ hơn khối lượng riêng của nước.
(Xem giải) Câu 34. Sulfuric acid là một trong những hóa chất quan trọng được sử dụng trong công nghiệp. Sulfuric acid chủ yếu được sản xuất bằng phương pháp tiếp xúc, theo đó sulfuric acid có thể được sản xuất từ quặng pyrite qua ba giai đoạn sau:
• Giai đoạn 1: Sản xuất SO2
Đốt cháy quặng pyrite trong lò đốt bằng không khí:
4FeS2(s) + 11O2(g) → 2Fe2O3(s) + 8SO2(g) (1)
• Giai đoạn 2: Sản xuất SO3
Oxi hóa SO2 bằng không khí dư ở nhiệt độ 450°C, áp suất 1-2 bar, xúc tác V2O5.
2SO2(g) + O2(g) ⇋ 2SO3(g) (2)
• Giai đoạn 3: Sản xuất H2SO4
Hấp thụ SO3 bằng dung dịch H2SO4 đặc, tạo ra oleum. Sau đó, pha oleum vào nước được dung dịch H2SO4.
H2SO4(aq) + nSO3(g) → H2SO4.nSO3) (oleum) (3)
H2SO4.пSO3() + nH2O(1) → (n + 1)H2SO4(aq) (4)
a) Hòa tan 15,48 gam oleum Y có công thức H2SO4.2SO3 vào nước thành 500 mL dung dịch Z. Tiến hành chuẩn độ 10,0 mL dung dịch Z bằng dung dịch chuẩn NaOH 0,5M thì thể tích dung dịch NaOH cần dùng để chuẩn độ là 7,2 mL. (Kết quả làm tròn đến hàng phần mười)
b) Trong các phản ứng (1), (2), (3), (4) ở trên có 3 phản ứng thuộc loại phản ứng oxi hóa – khử.
c) Ở giai đoạn 3, nếu dùng nước để trực tiếp hấp thụ SO3 sẽ đạt hiệu quả kinh tế cao hơn so với khi dùng dung dịch H2SO4 đặc.
d) Nếu hấp thụ hết bằng 50 kg SO3 bằng 150 kg dung dịch H2SO4 98% thu được oleum X thì phần trăm khối lượng của SO3 trong X là 25,38%. (Kết quả làm tròn đến hàng phần trăm)
(Xem giải) Câu 35. Một pin Galvani được thiết lập ở điều kiện chuẩn theo sơ đồ sau:

Cầu muối chứa muối NH4NO3. Khi pin Galvani trên hoạt động:
a) Phản ứng xảy ra trong pin Galvani trên là: Cu(s) + Ag+(aq) → Cu+(aq) + Ag(s).
b) Phản ứng hóa học diễn ra trong pin Galvani trên giải phóng năng lượng.
c) Có dòng electron di chuyển qua dây dẫn điện từ điện cực Cu sang điện cực Ag.
d) Ion NH4+ trong cầu muối di chuyển về dung dịch bên anode, còn ion NO3- di chuyển về dung dịch bên cathode.
(Xem giải) Câu 36. Thép (thành phần chính là Fe) ở các cây cầu bê tông, cốt thép, công trình cầu cảng, dường ốn dẫn dầu có thể bị ăn mòn. Hiện nay, để bào vệ các công trình cầu cảng, đường ống dẫn dầu bằng thép, người ta còn sử dụng phương pháp “bảo vệ cathode bằng dòng diện ngoài”. Trong phương pháp này, vật cần bảo vệ dược nối với một cực của nguồn điện một chiều, cực còn lại của nguồn điện một chiều đó nối với một điện cực trơ (thường làm bằng than chì hoặc titanium phủ oxide kim loại) được chôn trong đất hoặc ngâm trong nước gần đó.
a) Trong phương pháp “bảo vệ cathode bằng dòng điện ngoài”, cực dương của nguồn điện một chiều phải được nối với các vật bằng thép (vật cần bảo vệ).
b) Trong quá trình ăn mòn các vật bằng thép thì sắt (iron) đóng vai trò là cathode.
c) So với phương pháp “anode hi sinh”, phương pháp “bảo vệ cathode bằng dòng diện ngoài” có ưu điểm là không tiêu tốn kim loại hi sinh nhưng lại có nhược điểm là chi phí vận hành cao hơn do tiêu thụ điện năng và yêu cầu hệ thống lắp đặt phức tạp hơn.
d) Sau một thời gian bị ăn mòn trên bề mặt các vật bằng thép có một lớp gỉ sắt màu nâu đỏ (có thành phần chủ yếu là FeO.nH2O).
(Xem giải) Câu 37. Alcohol đa chức X được sử dụng làm chất giữ ẩm, chất chống lão hóa trong mỹ phẩm, làm hương vị trong thực phẩm,… Biết phân tử khối của X bằng 92. Kết quả phân tích cho biết phần trăm khối lượng các nguyên tố trong X như sau:
| Nguyên tố hóa học | C | H | O |
| Phần trăm khối lượng (%) | 39,13 | 8,70 | 52,17 |
Khi cho X tác dụng với acetic acid (xúc tác H2SO4 đặc, đun nóng) thu được hỗn hợp sản phẩm hữu cơ, trong đó có chất Y. Trong Y phần trăm khối lượng của nguyên tố oxygen là 45,45%.
a) Y có 2 công thức cấu tạo thỏa mãn.
b) Công thức phân tử của X là C3H8O3.
c) X có tên thay thế là glycerol.
d) Trong phân tử Y có 23 liên kết σ (xích ma).
(Xem giải) Câu 38. Răng của người được bảo vệ bởi lớp men cứng, dày khoảng 2 mm. Lớp men này là hợp chất Ca5(PO4)3OH và được tạo thành bằng phản ứng:
5Ca2+ + 3PO43- + OH- ⇋ Ca5(PO4)3OH (1)
Sau khi ăn, vi khuẩn trong khoang miệng tấn công các thức ăn còn bám lại trên răng tạo thành các acid hữu cơ như: acetic acid, lactic acid,… Thức ăn vói hàm lượng đường cao tạo điều kiện tốt cho việc sản sinh các acid đó, khi lượng acid trong khoang miệng tăng lên (pH giảm) làm mòn dần lớp men răng. Fluorine là một trong những nguyên tố vi lượng có vai trò quan trọng trong việc bảo vệ men răng. Kem đánh răng có chứa ion F-, trong quá trình đánh răng có sự hình thành hợp chất Ca5(PO4)3F theo phản ứng: 5Ca2+ + 3PO43- + F- ⇋ Ca5(PO4)3F (2)
Ca5(PO4)3F đã thay thế một phần cho Ca5(PO4)3OH làm cho răng được bảo vệ tốt hơn.
a) Nếu cân bằng (1) có hằng số cân bằng là Kc1 và cân bằng (2) có hằng số cân bằng là Kc2 thì giá trị của Kc1 nhỏ hơn Kc2.
b) Phản ứng (1) là phản ứng thuận nghịch.
c) Một số người có thói quen “ăn trầu”, việc này không tốt cho quá trình hình thành men.
d) Thực hiện vệ sinh răng miệng hợp lí và hạn chế ăn các thức ăn có hàm lượng đường cao là một trong các biện pháp giúp bảo vệ sức khỏe răng miệng.
PHẦN III. Câu trắc nghiệm yêu cầu trả lời ngắn. Thí sinh trả lời từ câu 39 đến câu 44.
(Xem giải) Câu 39. Phân bón là sản phẩm có chức năng cung cấp nguyên tố dinh dưỡng hoặc có tác dụng cải tạo đất để tăng năng suất và chất lượng cho cây trồng. NPK là loại phân bón hỗn hợp có chứa các nguyên tố dinh dưỡng đa lượng (N, P, K). Trên các bao bì phân bón NPK thường có kí hiệu bẳng những chữ số nhằm cho biết tỉ lệ khối lượng các thành phần dinh dưỡng trong phân bón.
Ví dụ: kí hiệu NPK 16.16.8 cho biết thành phần phần trăm về khối lượng của N, P2O5 và K2O lần lượt là 16%, 16% và 8%. Việc bón phân NPK (được tạo thành khi trộn các muối NH4NO3, (NH4)2HPO4, KCl theo tỉ lệ nhất định và một lượng phụ gia không chứa các nguyên tố dinh dưỡng) cho cây cà phê được chia thành 3 thời kì như sau:
| Thời kì | Lượng phân bón NPK |
| Bón thúc ra hoa | 0,5 kg phân bón NPK 10.12.5/cây |
| Bón đậu quả | 0,7 kg phân bón NPK 12.8.2/cây |
| Bón thúc quả lớn, tăng dưỡng chất cho quả | 0,6 kg phân bón NPK 16.16.16/cây |
Cho các phát biểu sau:
(1) Tổng khối lượng nguyên tố nitrogen đã cung cấp cho mỗi cây cà phê trong cả 3 thời kì là 0,23 kg. (Kết quả làm tròn đến hàng phần trăm)
(2) Thời kì cây cà phê được cung cấp nguyên tố phosphorus nhiều nhất trong 3 thời kì là thời kì bón đậu quả.
(3) Khối lượng muối KCl có trong lượng NPK đã bón cho mỗi cây cà phê ở thời kì bón thúc quả lớn, tăng dưỡng chất cho quả là 0,096 kg. (Kết quả làm tròn đến hàng phần nghìn)
(4) Khối lượng muối NH4NO3 có trong lượng NPK đã bón cho mỗi cây cà phê ở thời kì bón thúc ra hoa là 0,075 kg. (Kết quả làm tròn đến hàng phần nghìn)
Các phát biểu đúng gồm những phát biểu nào? (Liệt kê theo thứ tự từ nhở đến lớn, ví dụ 12; 234;…)
(Xem giải) Câu 40. Hằng số phân li acid (Ka) trong H2O, ở 25°C của một số chất được cho trong bảng sau:
| Chất | Ka | Chất | Ka |
| Phenol | 1,0.10-10 | Formic acid | 1,8.10^-4 |
| 2,4-dinitrophenol | 1,1.10-4 | Acetic acid | 1,8.10^-5 |
| 2,4,6-trinitrophenol (Picric acid) | 0,4 | Carbonic acid H2CO3 ⇋ HCO3- + H+ HCO3- ⇋ CO32- + H+ |
5,0.10-7 5,0.10-11 |
Cho các phát biểu sau:
(1) Khi sục khí CO2 vào dung dịch muối sodium phenolate (trong suốt) thấy dung dịch bị vẩn đục.
(2) Khi cho picric acid (dư) vào dung dịch muối sodium carbonate thấy có bọt khí thoát ra.
(3) Khi cho quỳ tím vào dung dịch 2,4-dinitrophenol 0,1M, thấy quỳ tím chuyển sang màu đỏ.
(4) Lực acid của acetic acid mạnh hơn lực acid của fomic acid.
(5) Trong các chất đã cho ở trên, picric acid có lực acid yếu nhất.
Các phát biểu đúng gồm những phát biểu nào? (Liệt kê theo thứ tự từ nhỏ đến lớn, ví dụ 12; 234;…)
(Xem giải) Câu 41. Trong nước thải của một nhà máy, hàm lượng ion ammonium là 192 mg/L. Để xử lí ion ammonium về nồng độ cho phép là không quá 5 mg/L (theo quy chuẩn Việt Nam), người ta tiến hành xử lí nước thải theo phương pháp Anammox (Anaerobic Ammonium Oxidation). Phương pháp này gồm 2 giai đoạn:
• Giai đoạn 1: Oxi hóa ion ammonium thành ion nitrite theo phương trình sau: (dùng NaHCO3 dư 10% so với lượng cần thiết):
NH4+ + O2 + HCO3- → NO2- + CO2 + H2O
• Giai đoạn 2: Diễn ra trong điều kiện yếm khí, ion amonium sẽ được oxi hoá trực tiếp thành khí nitrogen theo phản ứng:
NH4+ + NO2- → N2 + H2O.
Biết các phản ứng xảy ra hoàn toàn. Khối lượng (kg) NaHCO3 tối thiểu cần dùng để xử lí 750 m³ nước thải trên là bao nhiêu? (Kết quả làm tròn đến hàng đơn vị)
(Xem giải) Câu 42. Thành phần chính của quặng sylvinite là NaCl, KCl. Vì NaCl và KCl có nhiều tính chất tương tự nhau nên để tách lấy KCl từ quặng sylvinite người ta không dùng phương pháp hóa học để tách chúng. Trong thực tế người ta dựa vào độ tan khác nhau trong nước theo nhiệt độ để tách hai chất này. Sự phụ thuộc độ tan của NaCl và KCl theo nhiệt độ được biểu diễn theo hình sau:

Người ta tiến hành:
• Bước 1: Hòa tan một lượng quặng sylvinite được nghiền nhỏ vào 1200 gam nước ở 100°C, lọc bỏ phần không tan thu được dung dịch bão hòa X.
• Bước 2: Làm lạnh X xuống 10°C (lượng nước không đổi) tách ra m1 gam chất rắn Y.
• Bước 3: Cho m1 gam Y vào 150 gam H2O ở 20°C, khuấy đều thì thu được m2 gam chất rắn Z.
Giá trị của m2 là bao nhiêu? (Kết quả làm tròn đến hàng đơn vị)
(Xem giải) Câu 43. Chỉ số acid là một chỉ số quan trọng trong phân tích chất lượng của chất béo. Chi số acid của chất béo được định nghũa là số miligam KOH cần thiết để trung hoà các acid béo tự do có trong 1 gam chất béo. Dầu ăn được sử dụng làm thực phẩm khi có chỉ số acid không quá 2, nếu chỉ số acid lớn hơn 2 thì dầu ăn có thể đã bị ôi hoặc bị phân huỷ đáng kể và không còn phù hợp để sử dụng làm thực phẩm.
Tiến hành thí nghiệm xác định chỉ số acid của một loại dầu ăn X theo các bước sau:
• Bước 1: Hoà tan 1,5 gam dầu ăn X vào 20 mL hỗn hợp dung môi ethanol – ether, thêm vài giọt chỉ thị phenolphthalein.
• Bước 2: Tiến hành chuẩn độ acid béo trong toàn bộ dung dịch ở bước 1 bằng dung dịch chuẩn NaOH 0,05 M đến khi dung dịch có màu hồng bền trong ít nhất 20 giây thì kết thúc chuẩn độ.
Thể tích trung bình của dung dịch NaOH sau ba lần chuẩn độ là 2,2 mL.
Cho các phát biểu sau:
(1) Chỉ số acid của dầu ăn X là 2,9. (Kết quả làm tròn đến hàng phần mười)
(2) Dầu ăn X phù hợp để sử dụng làm thực phẩm.
(3) Ở bước 2, có thể thay NaOH bằng NaCl.
(4) Trong công nghiệp dầu ăn X được lên men để điều chế ethanol.
Các phát biểu không đúng gồm những phát biểu nào? (Liệt kê theo thứ tự từ nhỏ đến lớn, ví dụ 12;…)
(Xem giải) Câu 44. Chất T có công thức phân tử C28H38O19 được tạo ra bởi phản ứng ester hóa của saccharose với acetic alhydride ở điều kiện thích hợp (acetic alhydride có công thức (CH3CO)2O). Chất T được dùng làm chất nhũ hóa, chất kháng nấm, chất phụ gia thực phẩm. Ngoài ra, T còn được dùng làm chất chống cắn móng tay và mút ngón tay ở trẻ do tính chất rất đắng của nó.
Cho các phát biểu sau:
(1) T không độc nên được sử dụng làm chất phụ gia thực phẩm.
(2) T hòa tan được Cu(OH)2 trong môi trường kiềm ở điều kiện thường tạo dung dịch màu xanh lam.
(3) 1 mol T phản ứng tối đa với 6 mol NaOH trong dung dịch.
(4) Khi cho 10,0 gam saccharose phản ứng với 30 mL acetic alhydride (D = 1,08 gam/mL) ở điều kiện thích hợp, hiệu suất phản ứng tạo thành T đạt 75% thì thu được 20,2 gam T. (Kết quả làm tròn đến hàng phần mười)
Các phát biểu đúng gồm những phát biểu nào? (Liệt kê theo thứ tụ từ nhỏ đến lớn, ví dụ 12; 234;…)

Bình luận