[2026] Khảo sát chất lượng của sở GDĐT Bắc Ninh (Lần 1)
⇒ File word đề thi, đáp án và giải chi tiết
⇒ Mã đề: 058
⇒ Đề thi, đáp án và giải chi tiết:
| 1A | 2C | 3B | 4D | 5D | 6C | 7B | 8A | 9D |
| 10D | 11D | 12B | 13B | 14D | 15B | 16C | 17B | 18B |
| 19 | 20 | 21 | 22 | 23 | 24 | 25 | |
| (a) | S | Đ | Đ | Đ | 715 | 1245 | 234 |
| (b) | Đ | Đ | Đ | S | 26 | 27 | 28 |
| (c) | Đ | S | Đ | S | 3 | 1245 | 524 |
| (d) | Đ | S | Đ | S |
Phần I: Câu trắc nghiệm nhiều phương án lựa chọn. Thí sinh trả lời từ câu 1 đến câu 18. Mỗi câu hỏi thí sinh chỉ chọn một phương án.
(Xem giải) Câu 1. Biến thiên enthalpy của một phản ứng được biểu diễn ở hình bên: (∑
(cđ) là tổng enthalpy tạo thành chuẩn của các chất tham gia phản ứng, ∑
(sp) là tổng enthalpy tạo thành chuẩn của các chất sản phẩm)

Kết luận nào sau đây về phản ứng đã cho ở trên đúng?
A. Phản ứng tỏa nhiệt và
< 0. B. Phản ứng tỏa nhiệt và
> 0.
C. Phản ứng thu nhiệt và
> 0. D. Phản ứng thu nhiệt và
< 0.
(Xem giải) Câu 2. Phản ứng nào sau đây không thuộc loại phản ứng oxi hóa – khử?
A. H2 + Cl2 → 2HCl. B. O3 + 2Ag → Ag2O + O2.
C. SO2 + 2NaOH → Na2SO3 + H2O. D. Ca(OH)2 + Cl2 → CaOCl2 + H2O.
(Xem giải) Câu 3. Ở điều kiện thường, trừ thủy ngân (mercury) ở thể lỏng, các kim loại khác đều tồn tại ở thể rắn và có cấu tạo tinh thể được thể hiện dưới dạng mô hình khái quát như hình bên.

Trong tinh thể kim loại gồm:
A. nguyên tử kim loại và electron độc thân.
B. ion dương kim loại và các electron hóa trị tự do.
C. anion kim loại và electron hóa trị tự do.
D. anion kim loại và electron độc thân.
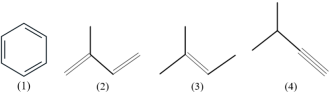
(Xem giải) Câu 4. Trùng hợp hydrocarbon X ở điều kiện nhiệt độ cao, áp suất cao và xúc tác thích hợp thu được polymer có công thức như hình bên.

Hydrocarbon X có tên gọi là
A. ethylene. B. methylpropylene. C. acetylene. D. propylene.
(Xem giải) Câu 5. Cho các amino acid có công thức cấu tạo sau:

Có bao nhiêu chất thuộc loại α-amino acid?
A. 4. B. 2. C. 1. D. 3.
(Xem giải) Câu 6. Cho một số chất có công thức cấu tạo dưới đây:

Có bao nhiêu chất thuộc loại hydrocarbon không no?
A. 2. B. 1. C. 3. D. 4.
(Xem giải) Câu 7. “…(1)… là những hợp chất hữu cơ trong phân tử có nhóm hydroxy (-OH) liên kết trực tiếp với nguyên tử carbon no”. Nội dung phù hợp trong chỗ trống (1) là
A. Phenol. B. Alcohol. C. Ketone. D. Aldehyde.
(Xem giải) Câu 8. Cơ chế của phản ứng cộng bromine vào liên kết đôi của ethene gồm hai giai đoạn như sau:

Phát biểu nào sau đây không đúng?
A. Số liên kết σ (xích ma) trong một phân tử ethene là 4.
B. Giai đoạn (1) có sự phân cắt liên kết π.
C. Giai đoạn (2) có sự hình thành liên kết σ (xích ma).
D. Ethene làm mất màu nước bromine.
(Xem giải) Câu 9. Loại phân bón nào sau đây là phân bón hữu cơ?
A. Đạm urea. B. Phân kali.
C. Phân lân nung chảy. D. Phân xanh.
(Xem giải) Câu 10. Polysaccharide X có công thức cấu tạo như hình dưới đây:

Phát biểu nào sau đây không đúng?
A. Trong phân tử chất X chứa liên kết β-1,4-glycoside.
B. X được tạo nên từ các gốc β-glucose.
C. Thủy phân hoàn toàn X trong môi trường acid, đun nóng thu được glucose.
D. X có khả năng hòa tan Cu(OH)2 trong môi trường kiềm.
(Xem giải) Câu 11. Khi nhỏ dung dịch iodine vào mặt cắt của củ khoai lang tươi, thấy xuất hiện màu xanh tím. Hiện tượng này chứng tỏ trong củ khoai lang có chứa chất nào sau đây?
A. Cellulose. B. Fructose. C. Glucose. D. Tinh bột.
(Xem giải) Câu 12. Nguồn điện nào sau đây không dựa vào năng lượng từ các phản ứng hoá học?
A. Pin Galvani. B. Pin mặt trời. C. Acquy. D. Pin nhiên liệu.
(Xem giải) Câu 13. Thành phần chính của xà phòng thường là sodium stearate hoặc sodium palmitate. Công thức của sodium stearate là
A. C2H5COOK. B. C17H35COONa. C. C17H35COOK. D. C2H5COONa.
(Xem giải) Câu 14. Khi rắc men rượu vào tinh bột đã được nấu chín (cơm, ngô, khoai, sắn) để ủ rượu thì yếu tố nào dưới đây đã được sử dụng để làm tăng tốc độ của phản ứng?
A. Nhiệt độ. B. Áp suất. C. Nồng độ. D. Chất xúc tác.
(Xem giải) Câu 15. Cho các phát biểu sau:
(1) Phản ứng thủy phân chất béo trong môi trường kiềm được gọi là phản ứng xà phòng hóa.
(2) Ethyl acetate có nhiệt độ sôi thấp hơn nhiệt độ sôi của acetic acid.
(3) Trong công nghiệp người ta thực hiện phản ứng hydrogen hóa để chuyển hóa chất béo lỏng thành chất béo rắn.
(4) Vinyl acetate có công thức cấu tạo là CH3COOCH=CH2.
(5) Người ta điều chế isoamyl acetate từ phản ứng ester hóa giữa acetic acid và isoamyl alcohol có xúc tác H2SO4 đặc, đun nóng.
Số phát biểu đúng là
A. 2. B. 5. C. 3. D. 4.
(Xem giải) Câu 16. Thí nghiệm nào sau đây không xảy ra phản ứng hóa học?
A. Cho mẩu Na (bằng hạt đậu tương) vào cốc nước ở nhiệt độ thường.
B. Đốt mẩu Na nóng chảy rồi cho nhanh vào bình chứa khí chlorine.
C. Nhúng thanh Ag vào dung dịch Cu(NO3)2.
D. Nhúng thanh Fe vào dung dịch H2SO4 loãng.
(Xem giải) Câu 17. Trong công nghiệp, nhôm (aluminium) được điều chế bằng cách điện phân nóng chảy hỗn hợp aluminium oxide (Al2O3) và cryolite (Na3AlF6) theo phương trình hóa học sau:
2Al2O3(l) → 4Al(l) + 3O2(g). Việc duy trì điện áp thấp (≈ 5 V) trong quá trình điện phân nhằm ngăn cản quá trình nào sau đây xảy ra ở cathode?
A. Al3+ + 3e → Al. B. Na+ + 1e → Na. C. O2 + 4e → O2-. D. F2 + 2e → 2F−.
(Xem giải) Câu 18. Trong máu người trưởng thành, khoẻ mạnh vào lúc đói có một lượng nhỏ glucose với nồng độ khoảng 4,4 – 7,2 mmol/L (hay 80 – 130 mg/dL). Công thức cấu tạo mạch hở của glucose là
A. CH2OH[CHOH]4COOH. B. CH2OH[CHOH]4CHO.
C. CH2OH[CHOH]4CH2OH. D. CH2OH[CHOH]5CHO.
PHẦN II. Câu trắc nghiệm đúng sai. Thí sinh trả lời từ câu 19 đến câu 22. Trong mỗi ý a), b), c), d) ở mỗi câu, thi sinh chọn đúng hoặc sai.
(Xem giải) Câu 19. Saccharose monolaurate là một trong những chất phụ gia có chức năng kép do khả năng nhũ hoá và hoạt tính kháng khuẩn của nó. Saccharose monolaurate thu được khi cho saccharose tác dụng với lauric acid. Dưới đây là công thức cấu tạo của saccharose monolaurate.

a) Saccharose monolaurate có công thức phân tử C12H22O11.
b) Trong một phân tử saccharose monolaurate có 7 nhóm hydroxy.
c) Từ 500 gam saccharose và 100 gam lauric acid, với hiệu suất của quá trình sản xuất là 47% có thể điều chế được 123,14 gam saccharose monolaurate. (Kết quả làm tròn đến hàng phần trăm)
d) Trong phân tử saccharose monolaurate có nhóm chức ester.
(Xem giải) Câu 20. Bột whey protein là một nguồn protein chất lượng, chứa rất nhiều amino acid thiết yếu và dễ hấp thụ nhanh chóng hơn so với các thực phẩm chứa protein mà chúng ta ăn hằng ngày. Nhiều nghiên cứu cho thấy bột whey protein có thể giúp bạn tăng sức mạnh, hỗ trợ phục hồi cơ bắp sau khi tập luyện giúp tăng cơ và giảm lượng mỡ thừa đáng kể. Nhìn chung bột whey protein là sản phẩm rất an toàn với liều lượng khoảng 1 – 2 muỗng tức khoảng 25 – 50 gam mỗi ngày, thường dùng sau khi tập luyện. Quá liều bột whey protein có thể gây ra các vấn đề về tiêu hóa như buồn nôn, đầy hơi, tiêu chảy, đau và chuột rút, một số người cũng có thể bị dị ứng với váng sữa. Cho bảng sau về một số nguồn cung cấp protein trong các thực phẩm:
| Tên thực phẩm | Số gam protein cung cấp |
| Whey protein | 27g protein/1 muỗng 32 gam |
| Ức gà (đã nấu chín) | 31g protein/100g ức gà |
| Thịt cá ngừ (chưa chế biến) | 29g protein/100g thịt cá ngừ |
| Trứng cỡ vừa (đã luộc chín) | 6,3g protein/1 quả trứng |
a) Trong quá trình tiêu hoá, whey protein bị thuỷ phân tạo thành các α-amino acid cần thiết mà cơ thể không tự tổng hợp được.
b) Một vận động viên có cân nặng 90 kg cần bổ sung 2,5 gam protein/1 kg trọng lượng cơ thể/1 ngày. Trong một ngày để bổ sung lượng protein theo yêu cầu trên, vận động viên đó có thể sử dụng: 200 gam ức gà, 50 gam thịt cá ngừ, 15 quả trứng gà, 2 muỗng whey protein ISOGOLD.
c) Khi pha bột whey protein với nước sôi (100°C) tốt hơn khi pha với nước nguội (25ºC).
d) Bột whey protein là nguồn thực phẩm bổ sung protein có thể thay thế hoàn toàn cho thực phẩm từ thịt, cá, trứng,…
(Xem giải) Câu 21. Tiến hành thí nghiệm cho mẩu kim loại Na vào cốc H2O (dư) ở nhiệt độ thường có nhỏ thêm vài giọt phenolphthalein.
a) Nước trong cốc từ không màu chuyển sang màu hồng.
b) Mẩu kim loại Na di chuyển trên mặt nước.
c) Không nên lấy mẩu kim loại Na quá to, vì khi thực hiện thí nghiệm có thể gây nổ.
d) Phản ứng của kim loại Na với nước là phản ứng tỏa nhiệt.
(Xem giải) Câu 22. Một pin Galvani được thiết lập ở điều kiện chuẩn theo sơ đồ sau:

Cầu muối chứa muối NH4NO3. Khi pin Galvani trên hoạt động:
a) Phản ứng hóa học diễn ra trong pin Galvani trên giải phóng năng lượng.
b) Ion NH4+ trong cầu muối di chuyển về dung dịch bên anode, còn ion NO3- di chuyển về dung dịch bên cathode.
c) Có dòng electron di chuyển qua dây dẫn điện từ điện cực Ag sang điện cực Cu.
d) Phản ứng xảy ra trong pin Galvani trên là: Cu(s) + Ag+(aq) → Cu+(aq) + Ag(s).
PHẦN III. Câu trắc nghiệm trả lời ngắn. Thí sinh trả lời từ câu 23 đến câu 28.
(Xem giải) Câu 23. Aniline có thể được tổng hợp từ benzene theo sơ đồ chuyển hoá sau:

Theo sơ đồ trên, từ 1 tấn benzene sẽ điều chế được bao nhiêu kg aniline? Biết hiệu suất toàn bộ quá trình là 60%. (Kết quả làm tròn đến hàng đơn vị)
(Xem giải) Câu 24. Trong công nghiệp, kim loại magnesium (Mg) được sản xuất từ carnalite (công thức hóa học là KCl.MgCl2.6H2O) bằng phương pháp điện phân nóng chảy. Trước khi điện phân, carnalite được nung nóng để loại bỏ bớt hơi nước. Khi điện phân nóng chảy, KCl có tác dụng hạ nhiệt độ nóng chảy của MgCl2 giúp giảm chi phí sản xuất. Sơ đồ thiết bị mô tả quá trình điện phân như sau:

Cho các phát biểu sau:
(1) Tại cathode xảy ra quá trình: Mg2+ + 2e → Mg.
(2) Tại anode xảy ra quá trình: 2Cl- → Cl2 + 2e.
(3) Khí trơ được sử dụng trong quá trình điện phân trên là khí nitrogen.
(4) Khối lượng riêng của kim loại Mg nóng chảy nhỏ hơn khối lượng riêng của hỗn hợp MgCl2 và KCl nóng chảy.
(5) Bằng phương pháp trên, nếu dùng 1 tấn quặng carnalite (chứa 43% KCl.MgCl2.6H2O về khối lượng, còn lại là tạp chất không chứa magnesium) với hiệu suất cả quá trình sản xuất là 75% thì thu được 27,9 kg magnesium. (Kết quả làm tròn đến hàng phần mười)
Các phát biểu đúng gồm những phát biểu nào? (Liệt kê theo thứ tự từ nhỏ đến lớn, ví dụ 123; 234;…).
(Xem giải) Câu 25. Cho chất X là thành phần chính trong một loại dầu thực vật và có cấu tạo như sau:

Cho các phát biểu sau:
(1) X thuộc loại chất béo không no, trong phân tử có ba liên kết π.
(2) Khi sử dụng làm thực phẩm, X có thể cung cấp acid béo omega-6 cho cơ thể.
(3) Ở điều kiện thường, X tồn tại ở thể lỏng và có khối lượng riêng nhỏ hơn 1 g/mL.
(4) Khi để lâu trong không khí, X sẽ bị oxi hóa chậm bởi oxygen không khí tạo ra hợp chất có mùi.
(5) Khi dùng nước có thể dễ dàng rửa sạch chất X bám vào bát, đĩa.
Các phát biểu đúng gồm những phát biểu nào? (Liệt kê theo thứ tự từ nhỏ đến lớn, ví dụ 123; 235;…).
(Xem giải) Câu 26. Cho các phát biểu sau:
(1) Dầu thực vật và dầu bôi trơn máy đều có thành phần chính là chất béo.
(2) Lấy mật ong pha thành dung dịch thì dung dịch đó có khả năng tham gia phản ứng tráng bạc.
(3) Tơ tằm thuộc loại polymer thiên nhiên.
(4) Trong phân tử peptide mạch hở Glu-Ala-Val-Gly có 5 nguyên tử oxygen.
(5) Polychloroprene là một loại cao su tổng hợp.
Có bao nhiêu phát biểu đúng?
(Xem giải) Câu 27. Kim loại nhôm (Al, aluminium) có một số tính chất: màu trắng bạc (1), dẫn điện tốt (2), tan trong dung dịch hydrochloric acid (3), kim loại nhẹ (4), độ cứng thấp (5), dễ bị oxi hoá bởi oxygen trong không khí (6). Trong các tính chất trên, có bao nhiêu tính chất thuộc loại tính chất vật lí của nhôm?
(Xem giải) Câu 28. Trong nước thải của một nhà máy, hàm lượng ion ammonium là 192 mg/L. Để xử lí ion ammonium về nồng độ cho phép là không quá 5 mg/L (theo quy chuẩn Việt Nam), người ta tiến hành xử lí nước thải theo phương pháp Anammox (Anaerobic Ammonium Oxidation). Phương pháp này gồm 2 giai đoạn:
• Giai đoạn 1: Oxi hóa ion ammonium thành ion nitrite theo phương trình sau:
NH4+ + O2 + HCO3- → NO2- + CO2 + H2O
• Giai đoạn 2: Diễn ra trong điều kiện yếm khí, ion amonium sẽ được oxi hoá trực tiếp thành khí nitrogen theo phản ứng:
NH4+ + NO2- → N2 + H2O.
Biết các phản ứng xảy ra hoàn toàn. Khối lượng (kg) NaHCO3 tối thiểu cần dùng để xử lí 600 m³ nước thải trên là bao nhiêu? (Kết quả làm tròn đến hàng đơn vị)

Bình luận