Ở điều kiện thích hợp, 2 phân tử isoprene (C5H8) cộng hợp với nhau tạo ra 4 sản phẩm đồng phân cấu tạo X1, X2, X3, X4. Trong đó, phân tử isoprene thứ nhất cộng hợp kiểu 1,4; phân tử isoprene thứ hai cộng hợp kiểu 1,2 hoặc kiểu 3,4. Khi phân tử thứ 2 cộng hợp kiểu 1,2 tạo ra X1 và X2, còn khi phân tử thứ 2 cộng hợp kiểu 3,4 tạo ra X3 và X4. Ozon phân khử (1. O3. 2. Zn/CH3COOH) X1 và X3 thu được sản phẩm như sau:

a. Xác định công thức cấu tạo của X1, X2, X3, X4.
b. Xác định công thức cấu tạo các sản phẩm của sự ozon phân khử X2, X4.
Câu trả lời tốt nhất
(a) Phản ứng và công thức của X1, X2, X3, X4.
X1:

X2:

X3:

X4:

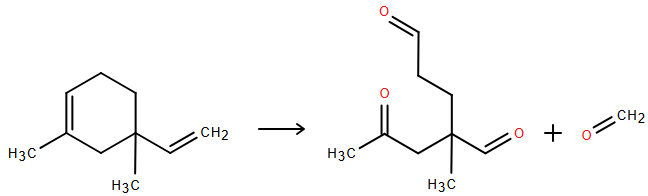
(b) Sản phẩm ozon phân khử (1. O3. 2. Zn/CH3COOH):
Của X2:

Của X4:

×
