Neo Pentan

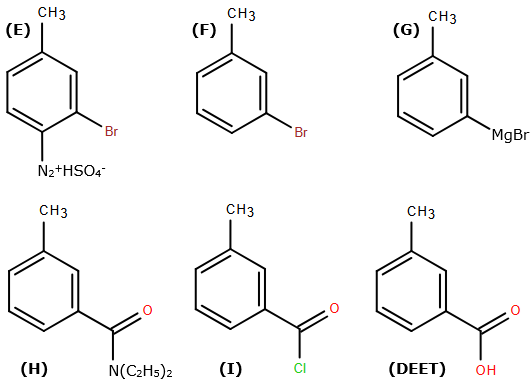
Diethyltoluamide (DEET) được biết đến là thành phần chính trong thuốc diệt muỗi và côn trùng. Dưới đây là một sơ đồ tổng hợp DEET:

Xác định cấu tạo của các chất từ E-I và DEET.

Neo Pentan chọn trả lời