Neo Pentan

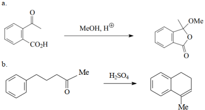
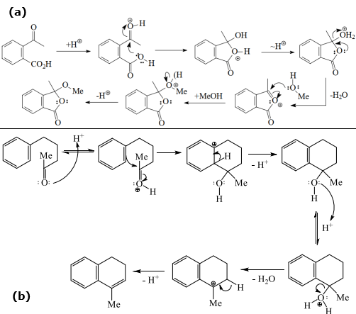
Hoàn thành cơ chế của phản ứng sau:

Neo Pentan chọn trả lời