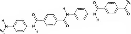
Kevlar là một polyamide có độ bền rất cao. Loại vật liệu này được dùng để sản xuất áo chống đạn và mũ bảo hiểm cho quân đội. Một đoạn mạch của Kevlar được mô tả như hình sau:

a) Benzene-1,4-diamine thuộc arylamine.
b) Trong số monomer điều chế Kevlar có một monomer có tính acid và một monomer có tính lưỡng tính.
c) Kevlar được tổng hợp trực tiếp từ benzene-1,4-dioic acid với benzene-1,4-diamine bằng phản ứng trùng ngưng.
d) Để sản xuất được 47,6 tấn kevlar với hiệu suất của cả quá trình sản xuất là 80% thì tổng khối lượng tối thiểu của 2 monomer cần dùng là 65,8 tấn.
Câu trả lời tốt nhất
(a) Đúng, các nhóm -NH2 trong benzene-1,4-diamine gắn trực tiếp vào vòng benzene nên thuộc arylamine.
(b) Sai, các monomer là benzene-1,4-dioic acid (có tính acid) và benzene-1,4-diamine (có tính base).
(c) Đúng
(d) Sai:
nC6H4(COOH)2 + nC6H4(NH2)2 —> Kevlar + 2nH2O
Tỉ lệ: 274 kg monomer tạo ra 238 kg Kevlar
H = 80% —> m monomer min = 47,6.274/(238.80%) = 68,5 tấn
Thầy ơi! Ý C phải là sai vì tên của acid này phải là benzen -1,4 – dicarboxylic acid chứ ạ.
