Một nhóm học sinh tạo ra nước giặt từ quả bồ hòn theo quy trình sau:
– Cho 10 quả bồ hòn và 1 lít nước vào nồi rồi đun sôi với lửa nhỏ khoảng 60 phút.
– Ủ nóng nồi nước qua đêm.
– Vò nát quả bồ hòn, rồi lọc bỏ phần bã, lấy phần nước sẽ thu được nước giặt.
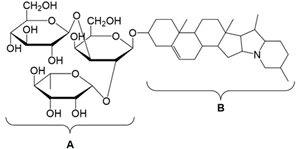
Trong thành phần của nước giặt từ quả bồ hòn có chất saponin, khi tiếp xúc với nước tạo ra lớp bọt nhẹ nên có khả năng giặt rửa. Công thức cấu tạo của saponin như hình bên.

Cho các nhận định sau:
(a) Trong phân tử saponin có chứa một đơn vị β-glucose.
(b) Quá trình tách chất hữu cơ từ quả bồ hòn ở trên được thực hiện theo phương pháp chiết lỏng – lỏng.
(c) Trong phân tử saponin, A là phần kị nước, B là phần ưa nước.
(d) Nước giặt từ quả bồ hòn ở trên bền vững, khó bị phân hủy khi thải ra ngoài môi trường.
Số nhận định đúng là
A. 3. B. 4. C. 1. D. 2.
Câu trả lời tốt nhất
(a) Đúng, phân tử saponin có chứa một đơn vị β-glucose (trên cùng, góc trái).
(b) Sai, đây là quá trình chiết lỏng – rắn, trong đó dung môi nước (lỏng) chiết saponin từ quả bồ hòn (rắn).
(c) Sai, A là phần đường (ưa nước), B là phần Steroid (kỵ nước)
(d) Sai, saponin là chất giặt rửa tự nhiên, dễ phân hủy sinh học.
