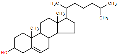
Steroid (X) có trong thức ăn. X là ester của stearic acid và cholestorol (phân tử có chứa 27 nguyên tử carbon và được biểu diễn ở hình sau).

Xác định phân tử khối (M) của steroid X.
Câu trả lời tốt nhất
Cholestorol có 27C, 4 vòng và 1C=C (k = 5) nên số H = 27.2 + 2 – 2.5 = 46 (C27H46O)
C18H36O2 + C27H46O —> X + H2O
—> MX = 284 + 386 – 18 = 652
×
