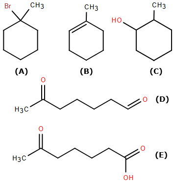
Xác định công thức cấu tạo các chất trong chuỗi chuyển hoá dưới đây: [đã giải] Neo Pentan gửi 05.10.2025 Xác định công thức cấu tạo các chất trong chuỗi chuyển hoá dưới đây: Neo Pentan chọn trả lời 05.10.2025 Bình luận(0) Câu trả lời tốt nhất Neo Pentan gửi 05.10.2025 Neo Pentan chọn trả lời tốt nhất 05.10.2025 Bình luận(0) Vui lòng đăng nhập hoặc đăng ký. × Login Tên người dùng hoặc Địa chỉ Email Mật khẩu Tự động đăng nhập Thống kêHoạt động05.10.2025Lượt xem726 lượtTrả lời1 trả lời Câu hỏi mới nhất Xăng A92 được coi là hỗn hợp gồm 92% isooctane (C8H18) và 8% heptane (C7H16) theo thể tích | 1 trả lời Chymotrypsin là enzyme xúc tác cho các phản ứng phân cắt liên kết peptide tạo bởi nhóm carboxyl của amino acid có chứa vòng benzene như phenylalanine (Phe) và tyrosine (Tys). | 1 trả lời Cho các alkene sau: CH3-CH=CH-CH3 (X); CH3-CH=CH2 (Y); CH2=CH2 (Z); CH2=C(CH3)2 (T); (CH3)2C=C(CH3)2 (U) | 1 trả lời Tại các vùng biển như Quảng Ninh hay Hải Phòng, ngư dân đang thực hiện một cuộc cách mạng: Thay thế toàn bộ phao xốp (dễ vỡ vụn thành hạt vi nhựa gây ô nhiễm) bằng phao nhựa HDPE. | 1 trả lời Phản ứng ester hoá giữa salicylic acid với methanol (xúc tác sulfuric acid đặc) thu được methyl salicylate | 1 trả lời Tổng số kilocalo (kcal) và tổng số gam chất béo trong một số thức ăn nhanh được liệt kê ở bảng dưới đây: | 1 trả lời Phenol là hợp chất hữu cơ, trong phân tử có: | 1 trả lời Cho các chất: aniline, phenylammonium chloride, methylamine, glycine, Glu-Ala | 1 trả lời Phương pháp nào sau đây có thể tách được sodium kim loại? | 1 trả lời Thực hiện chuỗi phản ứng sinh hóa sau: Tinh bột → X → Y → Acetic acid | 1 trả lời