Neo Pentan

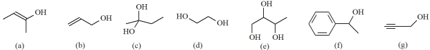
Những alcohol bền (có thể tồn tại độc lập) trên thực tế đều có đặc điểm là nhóm -OH liên kết với các nguyên tử carbon no và mỗi nguyên tử carbon chỉ liên kết tối đa với một nhóm -OH. Cho các hợp chất có công thức cấu tạo sau:

Số alcohol bền là

A. 4.       B. 3.       C. 5.       D. 6.

Neo Pentan chọn trả lời