Từ quả vanilla người ta phân lập được vanilline là một chất được sử dụng nhiều trong hương liệu, hóa dược, trung gian tổng hợp. Vanilline là hợp chất hữu cơ có 1 vòng benzene với 3 nhóm thế: -OH, -OCH3, -CHO (biết các nhóm -OCH3, -CHO lần lượt ở vị trí ortho, para so với nhóm -OH).
a) Viết công thức cấu tạo, xác định công thức phân tử của vanilline.
b) Viết phương trình hóa học của các phản ứng xảy ra khi:
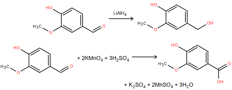
+ Vanilline tác dụng với LiAlH4 (có thể viết dưới dạng sơ đồ) thu được vanillyl alcohol (nguyên liệu dược).
+ Vanilline tác dụng với KMnO4 trong H2SO4 loãng thu được vanilic acid (chất chống oxy hóa).
Câu trả lời tốt nhất
(a) Cấu tạo vaniline:

Công thức phân tử của vaniline là C8H8O3.
(b) Phản ứng:

×
