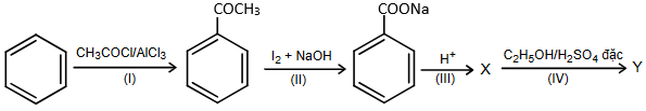
Y là một ester có mùi thơm của quả anh đào. Cho sơ đồ tổng hợp Y từ benzene như sau:

Cho các phát biểu sau:
(1) Chất X và chất Y đều có số liên kết π bằng nhau.
(2) Sau phản ứng (IV) có sự phân lớp vì chất Y ít tan trong dung môi không phân cực.
(3) Phản ứng (II) tạo ra chất kết tủa màu vàng là iodoform.
(4) Cho muỗi sodium benzoate tác dụng với carbonic acid thu được chất X.
(5) Chất Y không làm mất màu nước bromine ở điều kiện thường.
Liệt kê các phát biểu đúng theo thứ tự từ nhỏ đến lớn (ví dụ 1234,…)
Câu trả lời tốt nhất
(1) Đúng, X (C6H5COOH) và Y (C6H5COOC2H5) có cùng 4 liên kết π.
(2) Sai, Y ít tan trong dung môi phân cực (H2O) nên Y tách lớp.
(3) Đúng, (II) tạo ra chất kết tủa màu vàng là CHI3 (iodoform).
(4) Sai, C6H5COOH có tính acid mạnh hơn H2CO3 nên CO2 không đẩy C6H5COOH ra khỏi muối C6H5COONa được.
(5) Đúng, trong Y vòng thơm được gắn với nhóm chức ester nên khả năng thế kém so với benzene, không làm mất màu nước bromine ở điều kiện thường.
