Neo Pentan

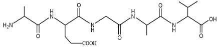
Peptide mạch hở X có cấu trúc phân tử như sau:

Phát biểu nào sau đây sai?

A. X tác dụng với dung dịch NaOH theo tỷ lệ mol nX : nNaOH = 1 : 5.

B. Trong phân tử X có 4 liên kết peptide.

C. Amino acid đầu C của peptide X là valine.

D. X phản ứng được với Cu(OH)2 trong môi trường kiềm tạo dung dịch màu tím đặc trưng.

Neo Pentan chọn trả lời